🇳🇴 🇬🇧 🇩🇪 🇨🇿 🇫🇮

Meteor, poloha: Rødberg 2023-03-06 02:14:06 UTC

Soubor KML  |  InteraktivnĂ­ mapa

Mapa zobrazuje dráhy meteoru. Světlejší čáry ukazují směry od pozorovacích stanic při objevení se meteoru a tmavší čáry, kde byl naposledy viděn. Modrá šipka značí viditelnou dráhu meteoru.

static map
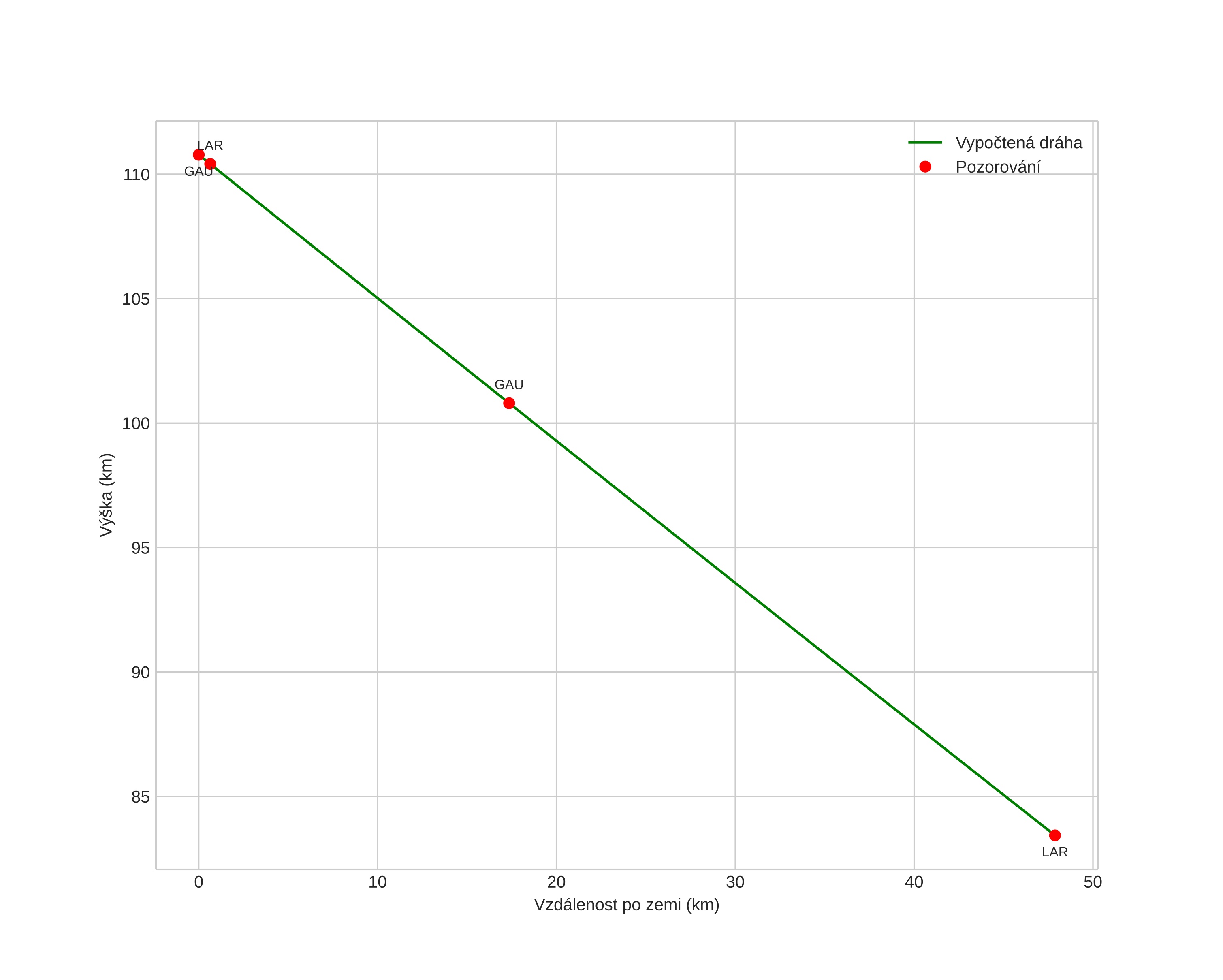
height profile
Atmosférická dráha meteoru:
Počáteční výška: 110,8 km
Konečná výška: 84,2 km
Počáteční poloha: 60,096N 9,625E
Konečná poloha: 60,368N 8,930E
Směr: 308,6°
Sklon: 28,5°
VstupnĂ­ rychlost: 14,4 km/s
Rektascenze radiantu: 17:01 (255,4°)
Deklinace radiantu: -5,9°
MeteorickĂ˝ roj: sporadickĂ˝
Elementy dráhy meteoroidu:
Vzdálenost v periheliu: 0,349 AU
Excentricita: 0,480
Sklon dráhy: 6,9°
Délka vzestupného uzlu: 344,9°
Argument perihelia: 1,2°
Střední anomálie: 177,0°
Epocha: 2023 MAR 06 02:14:06
orbit plot

NeinteraktivnĂ­ graf | InteraktivnĂ­ graf

position vs time
speed and acceleration