🇳🇴 🇬🇧 🇩🇪 🇨🇿 🇫🇮

Meteor Rødbergin yllä 2023-03-06 02:14:06 UTC

KML-tiedosto  |  Interaktiivinen kartta

Kartta näyttää meteorin suuntahavainnot. Vaaleammat viivat näyttävät suunnat havaintoasemilta meteorin ilmestyessä, ja tummemmat viivat näyttävät, missä se viimeksi nähtiin. Sininen nuoli näyttää meteorin näkyvän lennon.

static map
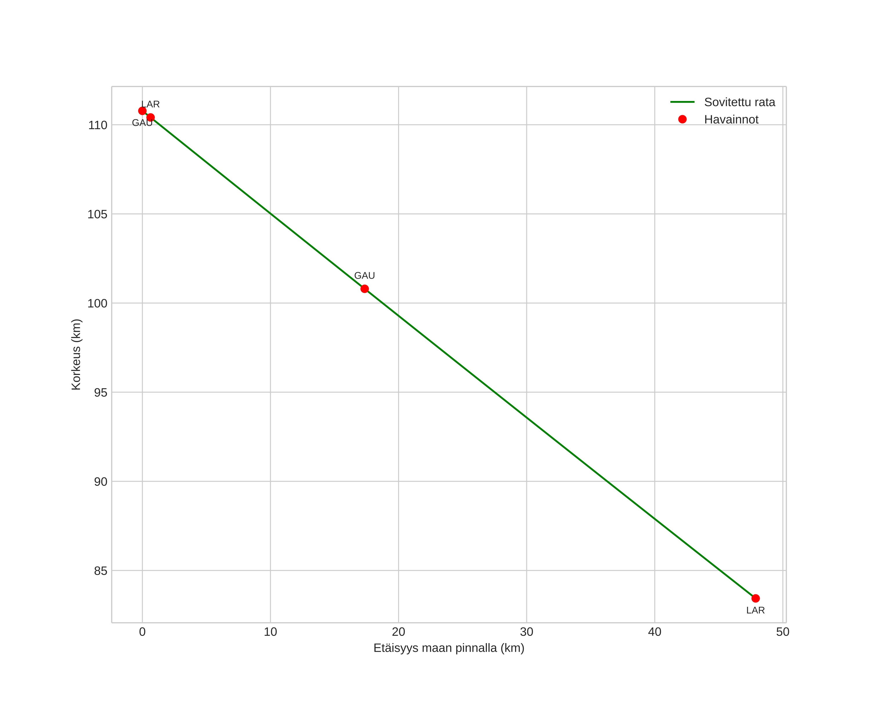
height profile
Meteorin ilmakehärata:
Alkukorkeus: 110,8 km
Loppukorkeus: 84,2 km
Alkupiste: 60,096N 9,625E
Loppupiste: 60,368N 8,930E
Suunta: 308,6°
Kallistuskulma: 28,5°
Tulonopeus: 14,4 km/s
Radiantin R,A,: 17:01 (255,4°)
Radiantin Dekl,: -5,9°
Meteoriparvi: Sporadinen
Meteoroidin rataelementit:
Perihelietäisyys: 0,349 AU
Eksentrisyys: 0,480
Inklinaatio: 6,9°
Nousevan solmun pituus: 344,9°
Perihelin argumentti: 1,2°
Keskianomalia: 177,0°
Epookki: 2023 MAR 06 02:14:06
orbit plot

Ei-interaktiivinen kuvaaja | Interaktiivinen kuvaaja

position vs time
speed and acceleration