🇳🇴 🇬🇧 🇩🇪 🇨🇿 🇫🇮

Meteor, poloha: Birketveit 2023-03-08 18:25:43 UTC

Soubor KML  |  InteraktivnĂ­ mapa

Mapa zobrazuje dráhy meteoru. Světlejší čáry ukazují směry od pozorovacích stanic při objevení se meteoru a tmavší čáry, kde byl naposledy viděn. Modrá šipka značí viditelnou dráhu meteoru.

static map
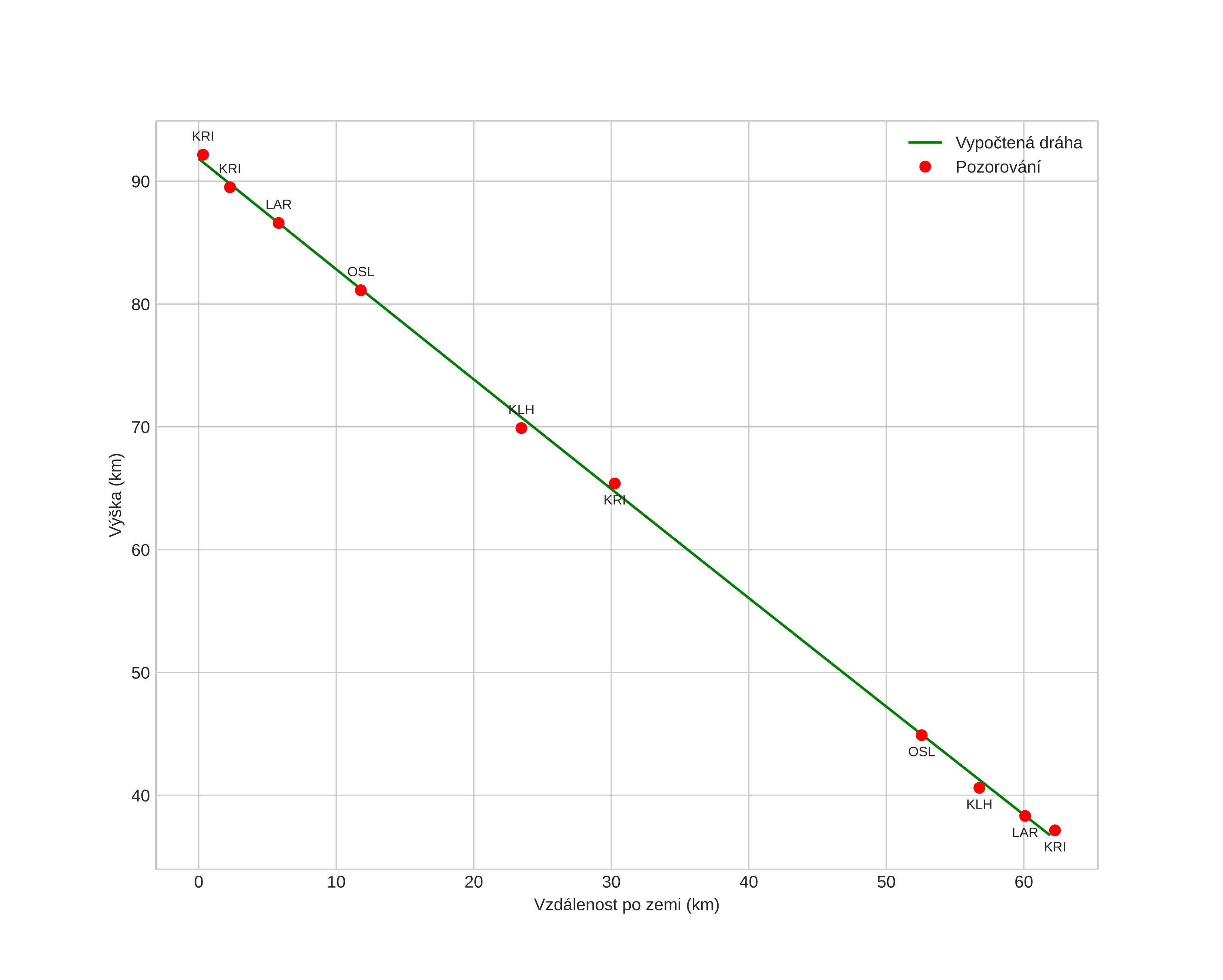
height profile
Atmosférická dráha meteoru:
Počáteční výška: 91,8 km
Konečná výška: 37,1 km
Počáteční poloha: 58,710N 9,149E
Konečná poloha: 58,578N 8,111E
Směr: 256,8°
Sklon: 41,5°
VstupnĂ­ rychlost: 19,5 km/s
Rektascenze radiantu: 11:20 (170,2°)
Deklinace radiantu: 37,6°
MeteorickĂ˝ roj: sporadickĂ˝
Elementy dráhy meteoroidu:
Vzdálenost v periheliu: 0,817 AU
Excentricita: 0,566
Sklon dráhy: 13,6°
Délka vzestupného uzlu: 347,6°
Argument perihelia: 239,3°
Střední anomálie: 344,5°
Epocha: 2023 MAR 08 18:25:43
orbit plot

NeinteraktivnĂ­ graf | InteraktivnĂ­ graf

position vs time
speed and acceleration

Kristiansand (KRI) cam7


gnomonic
Videa
• Gnomonická
• Gnomonická se souřadnicemi
• Původní
• Původní se souřadnicemi
Obrázky
• Gnomonická
• Gnomonická se souřadnicemi
• Gnomonická s popisky
• Původní
• Původní se souřadnicemi
Textové soubory
• Detekce
• Pozorování
• Souřadnice
• Protokol
Jasnost