🇳🇴 🇬🇧 🇩🇪 🇨🇿 🇫🇮

Meteor Birketveitin yllä 2023-03-08 18:25:43 UTC

KML-tiedosto  |  Interaktiivinen kartta

Kartta näyttää meteorin suuntahavainnot. Vaaleammat viivat näyttävät suunnat havaintoasemilta meteorin ilmestyessä, ja tummemmat viivat näyttävät, missä se viimeksi nähtiin. Sininen nuoli näyttää meteorin näkyvän lennon.

static map
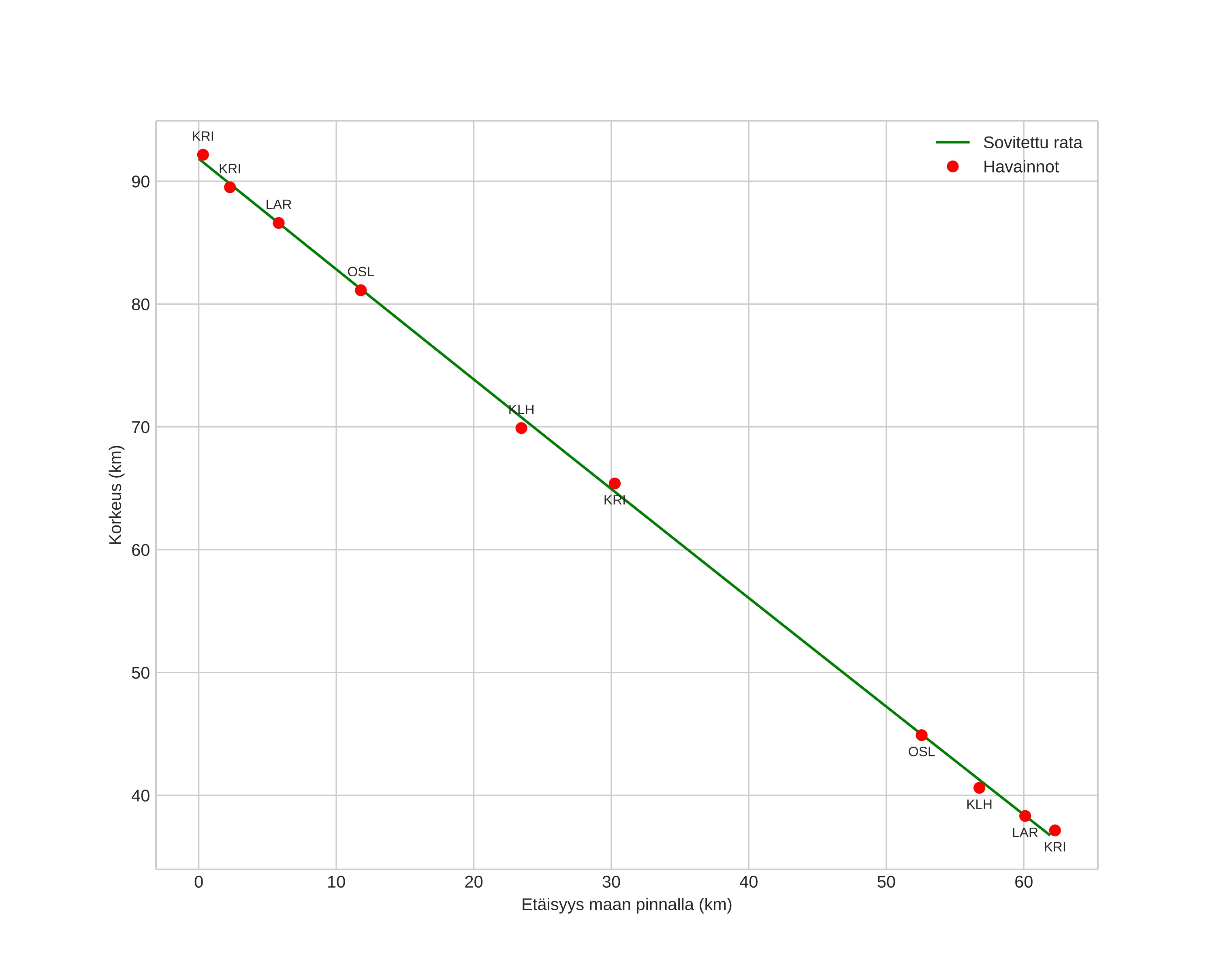
height profile
Meteorin ilmakehärata:
Alkukorkeus: 91,8 km
Loppukorkeus: 37,1 km
Alkupiste: 58,710N 9,149E
Loppupiste: 58,578N 8,111E
Suunta: 256,8°
Kallistuskulma: 41,5°
Tulonopeus: 19,5 km/s
Radiantin R,A,: 11:20 (170,2°)
Radiantin Dekl,: 37,6°
Meteoriparvi: Sporadinen
Meteoroidin rataelementit:
Perihelietäisyys: 0,817 AU
Eksentrisyys: 0,566
Inklinaatio: 13,6°
Nousevan solmun pituus: 347,6°
Perihelin argumentti: 239,3°
Keskianomalia: 344,5°
Epookki: 2023 MAR 08 18:25:43
orbit plot

Ei-interaktiivinen kuvaaja | Interaktiivinen kuvaaja

position vs time
speed and acceleration

Kristiansand (KRI) cam7


gnomonic
Videot:
• Gnomoninen
• Gnomoninen koordinaateilla
• Alkuperäinen
• Alkuperäinen koordinaateilla
Kuvat:
• Gnomoninen
• Gnomoninen koordinaateilla
• Gnomoninen merkinnöillä
• Alkuperäinen
• Alkuperäinen koordinaateilla
Tekstitiedostot:
• Havaintoraportti
• Observaatio
• Koordinaatit
• Loki
Kirkkaus