🇳🇴 🇬🇧 🇩🇪 🇨🇿 🇫🇮

Meteor, poloha: Sjølyststranda 2023-03-11 18:34:35 UTC

Soubor KML  |  InteraktivnĂ­ mapa

Mapa zobrazuje dráhy meteoru. Světlejší čáry ukazují směry od pozorovacích stanic při objevení se meteoru a tmavší čáry, kde byl naposledy viděn. Modrá šipka značí viditelnou dráhu meteoru.

static map
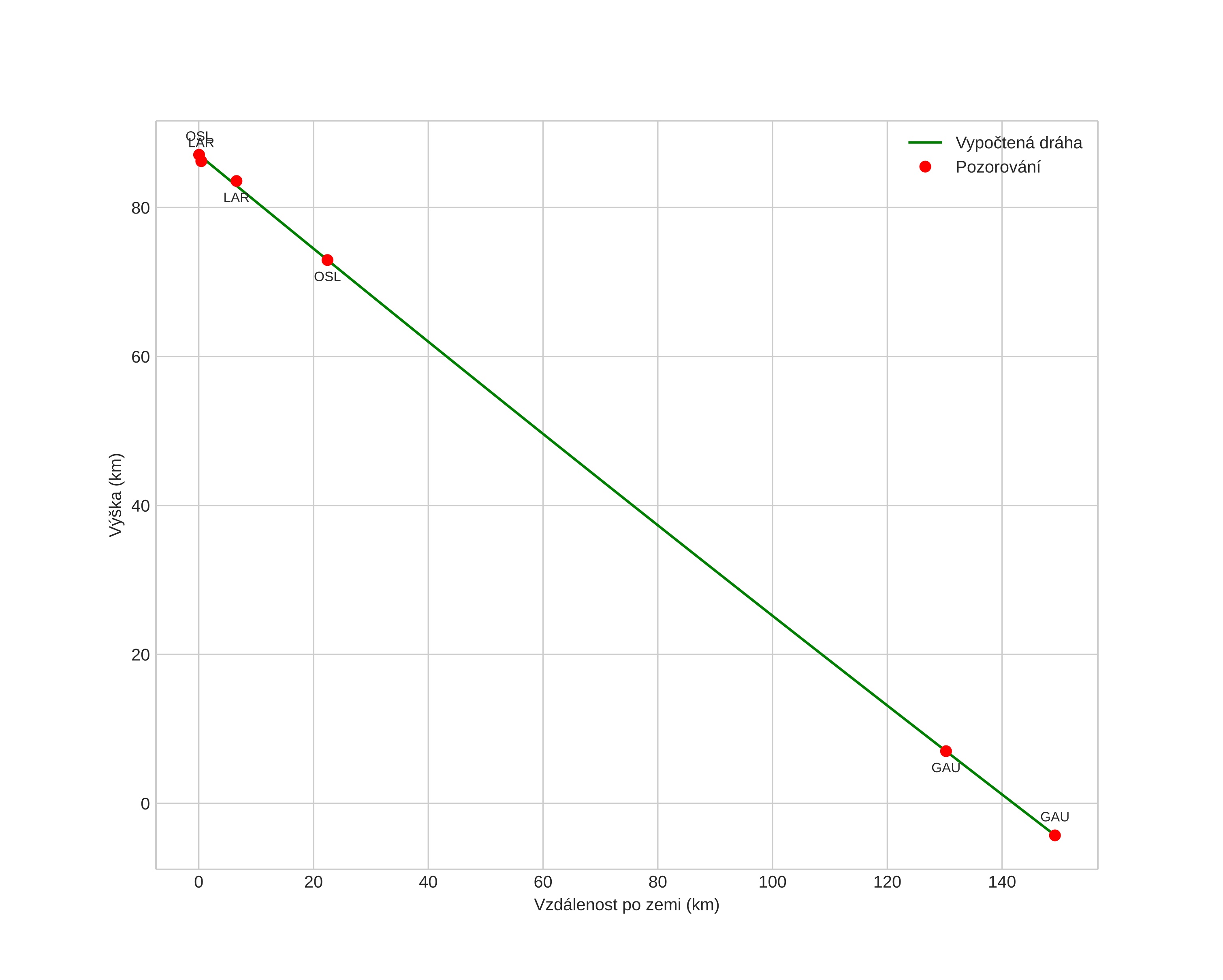
height profile
Atmosférická dráha meteoru:
Počáteční výška: 81,1 km
Konečná výška: 78,1 km
Počáteční poloha: 60,036N 11,060E
Konečná poloha: 60,018N 10,711E
Směr: 264,3°
Sklon: 8,8°
VstupnĂ­ rychlost: 22,2 km/s
Rektascenze radiantu: 12:50 (192,7°)
Deklinace radiantu: 4,4°
MeteorickĂ˝ roj: sporadickĂ˝
Elementy dráhy meteoroidu:
Vzdálenost v periheliu: 0,403 AU
Excentricita: 0,584
Sklon dráhy: 7,2°
Délka vzestupného uzlu: 350,6°
Argument perihelia: 307,8°
Střední anomálie: 300,8°
Epocha: 2023 MAR 11 18:34:35
orbit plot

NeinteraktivnĂ­ graf | InteraktivnĂ­ graf

position vs time
speed and acceleration