🇳🇴 🇬🇧 🇩🇪 🇨🇿 🇫🇮

Meteor Sjølyststrandan yllä 2023-03-11 18:34:35 UTC

KML-tiedosto  |  Interaktiivinen kartta

Kartta näyttää meteorin suuntahavainnot. Vaaleammat viivat näyttävät suunnat havaintoasemilta meteorin ilmestyessä, ja tummemmat viivat näyttävät, missä se viimeksi nähtiin. Sininen nuoli näyttää meteorin näkyvän lennon.

static map
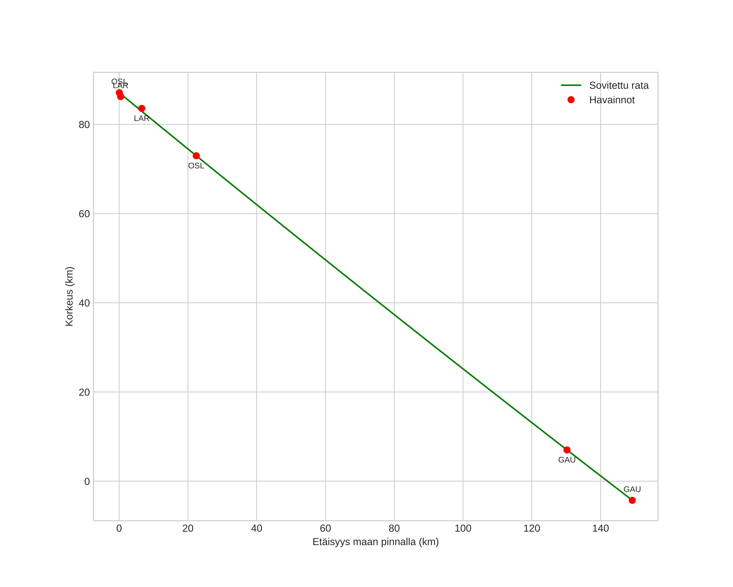
height profile
Meteorin ilmakehärata:
Alkukorkeus: 81,1 km
Loppukorkeus: 78,1 km
Alkupiste: 60,036N 11,060E
Loppupiste: 60,018N 10,711E
Suunta: 264,3°
Kallistuskulma: 8,8°
Tulonopeus: 22,2 km/s
Radiantin R,A,: 12:50 (192,7°)
Radiantin Dekl,: 4,4°
Meteoriparvi: Sporadinen
Meteoroidin rataelementit:
Perihelietäisyys: 0,403 AU
Eksentrisyys: 0,584
Inklinaatio: 7,2°
Nousevan solmun pituus: 350,6°
Perihelin argumentti: 307,8°
Keskianomalia: 300,8°
Epookki: 2023 MAR 11 18:34:35
orbit plot

Ei-interaktiivinen kuvaaja | Interaktiivinen kuvaaja

position vs time
speed and acceleration