🇳🇴 🇬🇧 🇩🇪 🇨🇿 🇫🇮

Meteor, poloha: Skagen 2023-03-11 21:54:41 UTC

Soubor KML  |  InteraktivnĂ­ mapa

Mapa zobrazuje dráhy meteoru. Světlejší čáry ukazují směry od pozorovacích stanic při objevení se meteoru a tmavší čáry, kde byl naposledy viděn. Modrá šipka značí viditelnou dráhu meteoru.

static map
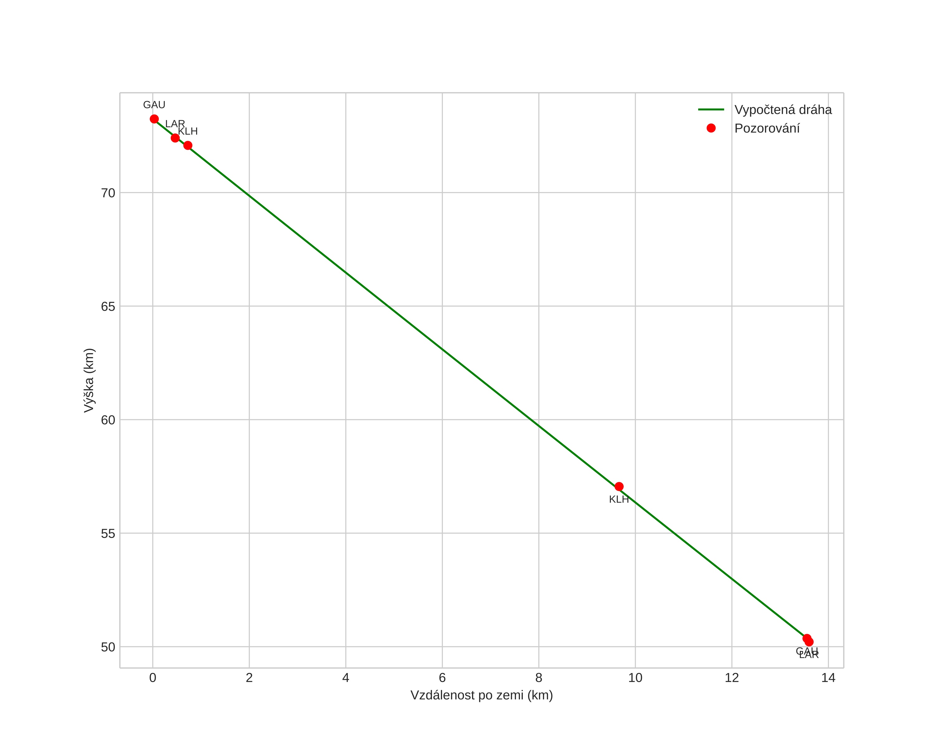
height profile
Atmosférická dráha meteoru:
Počáteční výška: 73,2 km
Konečná výška: 49,9 km
Počáteční poloha: 57,771N 10,465E
Konečná poloha: 57,886N 10,391E
Směr: 341,1°
Sklon: 59,8°
VstupnĂ­ rychlost: 17,8 km/s
Rektascenze radiantu: 10:34 (158,5°)
Deklinace radiantu: 24,9°
MeteorickĂ˝ roj: sporadickĂ˝
Elementy dráhy meteoroidu:
Vzdálenost v periheliu: 0,845 AU
Excentricita: 0,585
Sklon dráhy: 5,8°
Délka vzestupného uzlu: 350,7°
Argument perihelia: 233,4°
Střední anomálie: 347,3°
Epocha: 2023 MAR 11 21:54:41
orbit plot

NeinteraktivnĂ­ graf | InteraktivnĂ­ graf

position vs time
speed and acceleration