🇳🇴 🇬🇧 🇩🇪 🇨🇿 🇫🇮

Meteor Skagenin yllä 2023-03-11 21:54:41 UTC

KML-tiedosto  |  Interaktiivinen kartta

Kartta näyttää meteorin suuntahavainnot. Vaaleammat viivat näyttävät suunnat havaintoasemilta meteorin ilmestyessä, ja tummemmat viivat näyttävät, missä se viimeksi nähtiin. Sininen nuoli näyttää meteorin näkyvän lennon.

static map
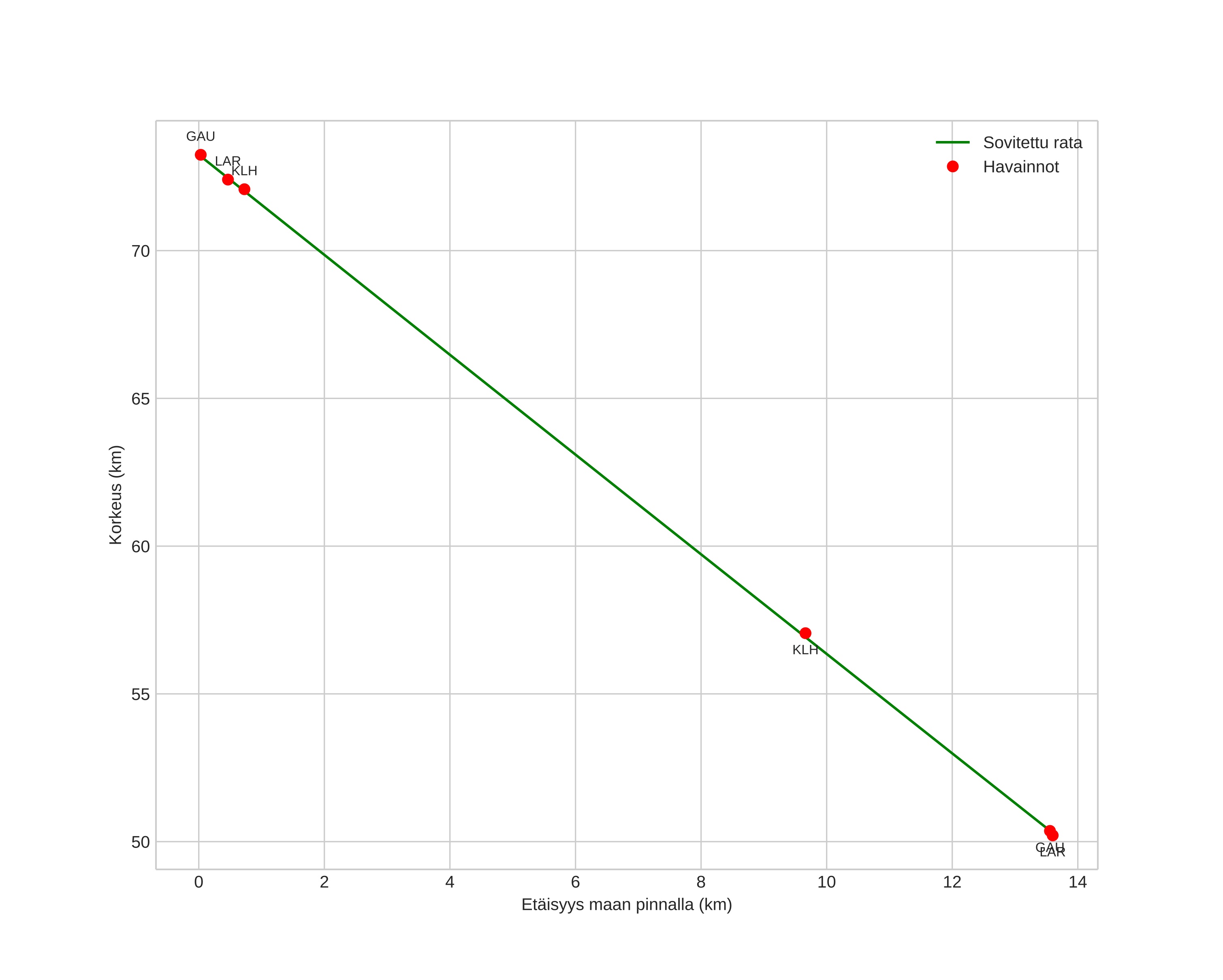
height profile
Meteorin ilmakehärata:
Alkukorkeus: 73,2 km
Loppukorkeus: 49,9 km
Alkupiste: 57,771N 10,465E
Loppupiste: 57,886N 10,391E
Suunta: 341,1°
Kallistuskulma: 59,8°
Tulonopeus: 17,8 km/s
Radiantin R,A,: 10:34 (158,5°)
Radiantin Dekl,: 24,9°
Meteoriparvi: Sporadinen
Meteoroidin rataelementit:
Perihelietäisyys: 0,845 AU
Eksentrisyys: 0,585
Inklinaatio: 5,8°
Nousevan solmun pituus: 350,7°
Perihelin argumentti: 233,4°
Keskianomalia: 347,3°
Epookki: 2023 MAR 11 21:54:41
orbit plot

Ei-interaktiivinen kuvaaja | Interaktiivinen kuvaaja

position vs time
speed and acceleration