🇳🇴 🇬🇧 🇩🇪 🇨🇿 🇫🇮

Meteor, poloha: Gilleleje 2023-03-12 03:36:31 UTC

Soubor KML  |  InteraktivnĂ­ mapa

Mapa zobrazuje dráhy meteoru. Světlejší čáry ukazují směry od pozorovacích stanic při objevení se meteoru a tmavší čáry, kde byl naposledy viděn. Modrá šipka značí viditelnou dráhu meteoru.

static map
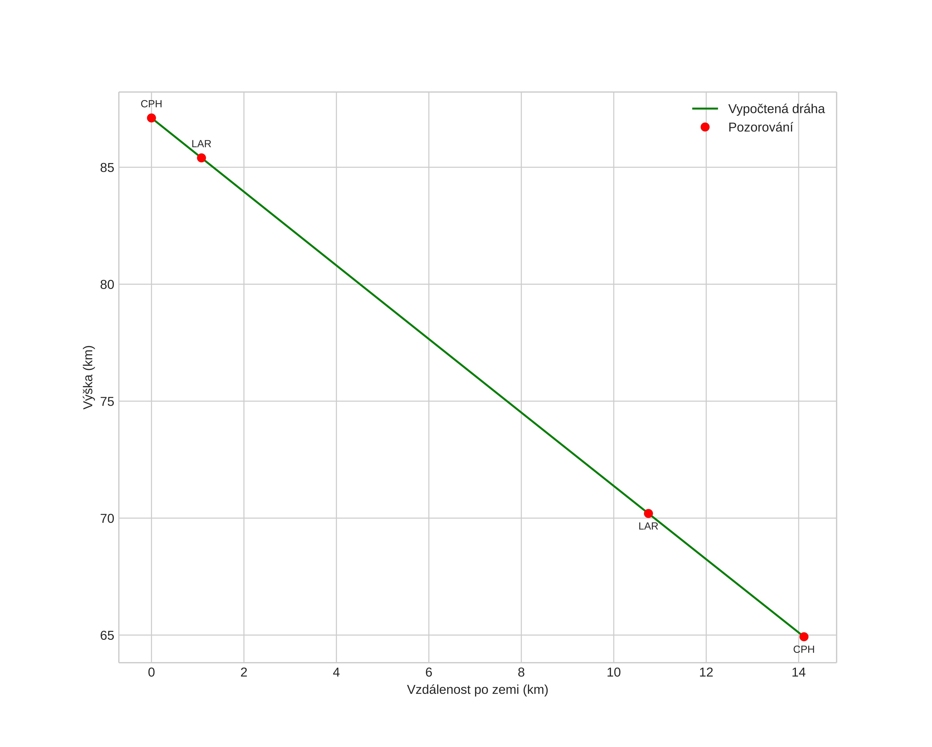
height profile
Atmosférická dráha meteoru:
Počáteční výška: 88,3 km
Konečná výška: 64,4 km
Počáteční poloha: 56,440N 12,460E
Konečná poloha: 56,449N 12,240E
Směr: 274,3°
Sklon: 60,4°
VstupnĂ­ rychlost: 53,6 km/s
Rektascenze radiantu: 18:38 (279,7°)
Deklinace radiantu: 44,6°
MeteorickĂ˝ roj: sporadickĂ˝
Elementy dráhy meteoroidu:
Vzdálenost v periheliu: 0,966 AU
Excentricita: 1,851
Sklon dráhy: 75,9°
Délka vzestupného uzlu: 351,0°
Argument perihelia: 163,1°
Střední anomálie: 8,0°
Epocha: 2023 MAR 12 03:36:31
orbit plot

NeinteraktivnĂ­ graf | InteraktivnĂ­ graf

position vs time
speed and acceleration