🇳🇴 🇬🇧 🇩🇪 🇨🇿 🇫🇮

Meteor Gillelejen yllä 2023-03-12 03:36:31 UTC

KML-tiedosto  |  Interaktiivinen kartta

Kartta näyttää meteorin suuntahavainnot. Vaaleammat viivat näyttävät suunnat havaintoasemilta meteorin ilmestyessä, ja tummemmat viivat näyttävät, missä se viimeksi nähtiin. Sininen nuoli näyttää meteorin näkyvän lennon.

static map
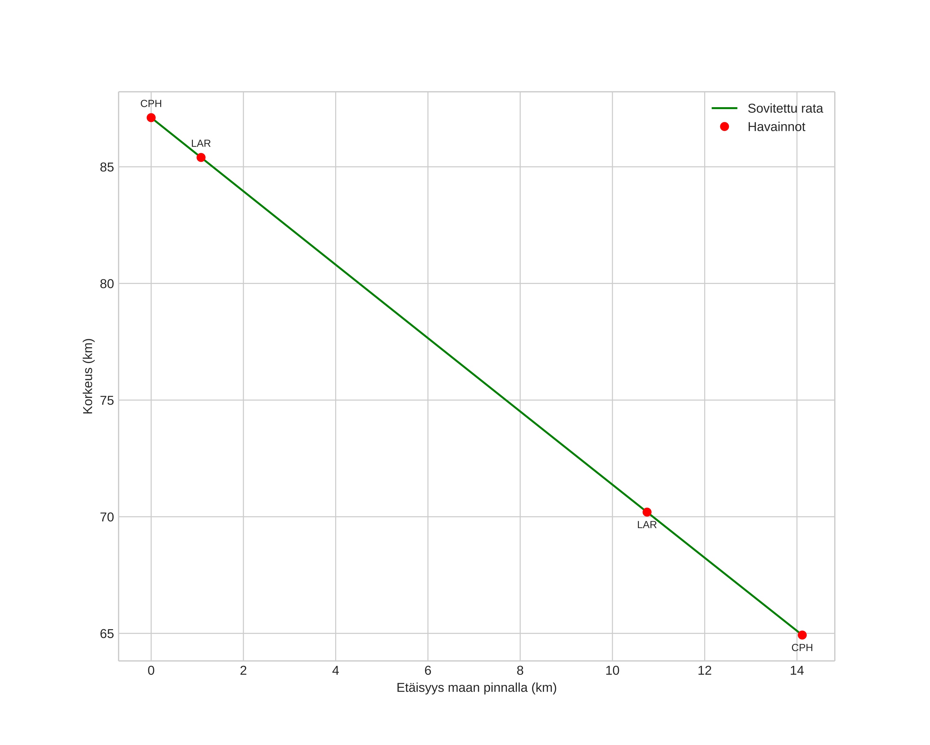
height profile
Meteorin ilmakehärata:
Alkukorkeus: 88,3 km
Loppukorkeus: 64,4 km
Alkupiste: 56,440N 12,460E
Loppupiste: 56,449N 12,240E
Suunta: 274,3°
Kallistuskulma: 60,4°
Tulonopeus: 53,6 km/s
Radiantin R,A,: 18:38 (279,7°)
Radiantin Dekl,: 44,6°
Meteoriparvi: Sporadinen
Meteoroidin rataelementit:
Perihelietäisyys: 0,966 AU
Eksentrisyys: 1,851
Inklinaatio: 75,9°
Nousevan solmun pituus: 351,0°
Perihelin argumentti: 163,1°
Keskianomalia: 8,0°
Epookki: 2023 MAR 12 03:36:31
orbit plot

Ei-interaktiivinen kuvaaja | Interaktiivinen kuvaaja

position vs time
speed and acceleration