🇳🇴 🇬🇧 🇩🇪 🇨🇿 🇫🇮

Meteor, poloha: Bogen 2023-03-13 02:10:43 UTC

Soubor KML  |  InteraktivnĂ­ mapa

Mapa zobrazuje dráhy meteoru. Světlejší čáry ukazují směry od pozorovacích stanic při objevení se meteoru a tmavší čáry, kde byl naposledy viděn. Modrá šipka značí viditelnou dráhu meteoru.

static map
height profile
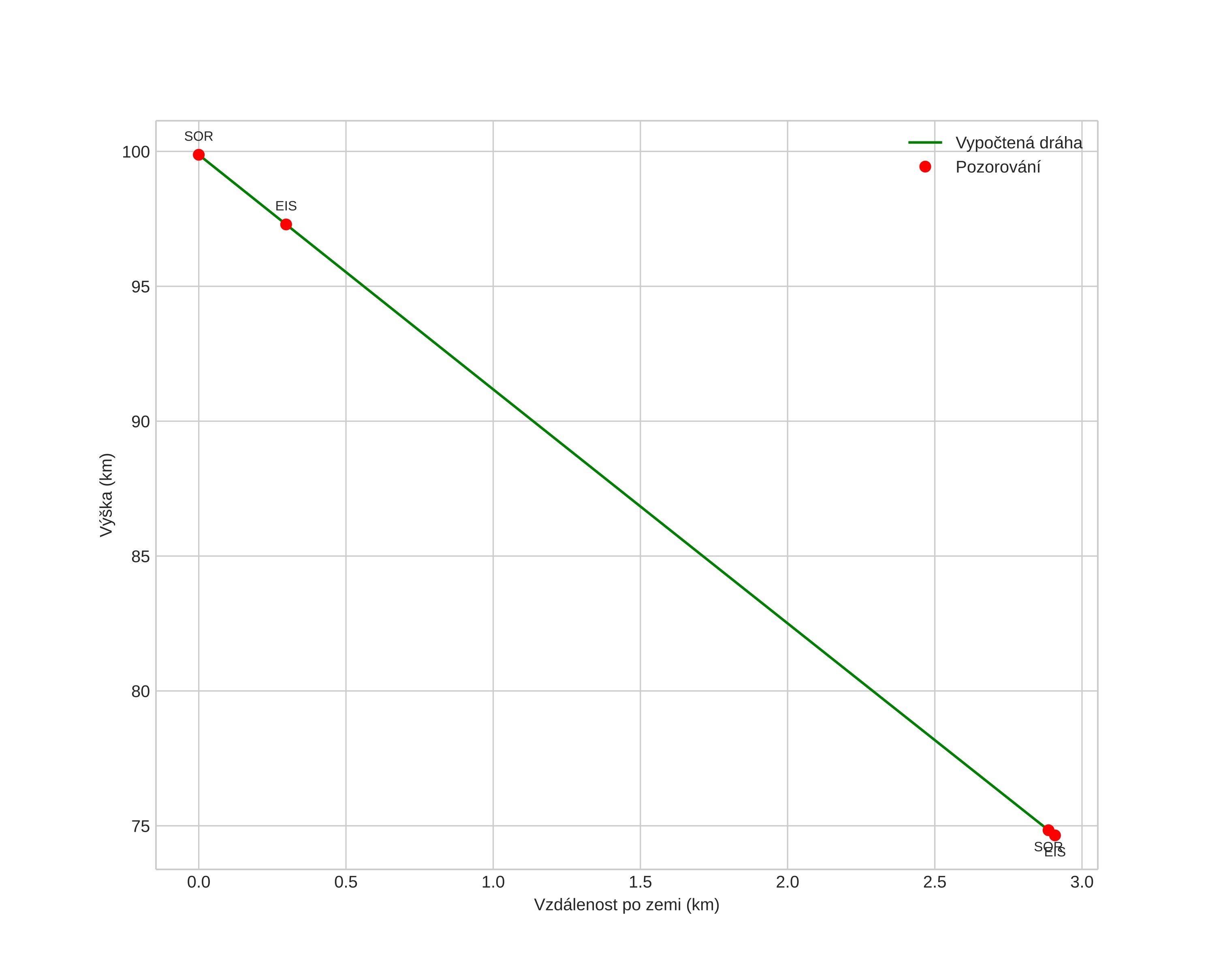
Atmosférická dráha meteoru:
Počáteční výška: 97,2 km
Konečná výška: 74,8 km
Počáteční poloha: 68,679N 17,037E
Konečná poloha: 68,682N 16,949E
Směr: 275,9°
Sklon: 81,0°
VstupnĂ­ rychlost: 31,0 km/s
Rektascenze radiantu: 16:10 (242,5°)
Deklinace radiantu: 66,0°
MeteorickĂ˝ roj: sporadickĂ˝
Elementy dráhy meteoroidu:
Vzdálenost v periheliu: 0,979 AU
Excentricita: 0,947
Sklon dráhy: 43,3°
Délka vzestupného uzlu: 351,9°
Argument perihelia: 194,2°
Střední anomálie: 359,9°
Epocha: 2023 MAR 13 02:10:43
orbit plot

NeinteraktivnĂ­ graf | InteraktivnĂ­ graf

position vs time
speed and acceleration