🇳🇴 🇬🇧 🇩🇪 🇨🇿 🇫🇮

Meteor Bogenin yllä 2023-03-13 02:10:43 UTC

KML-tiedosto  |  Interaktiivinen kartta

Kartta näyttää meteorin suuntahavainnot. Vaaleammat viivat näyttävät suunnat havaintoasemilta meteorin ilmestyessä, ja tummemmat viivat näyttävät, missä se viimeksi nähtiin. Sininen nuoli näyttää meteorin näkyvän lennon.

static map
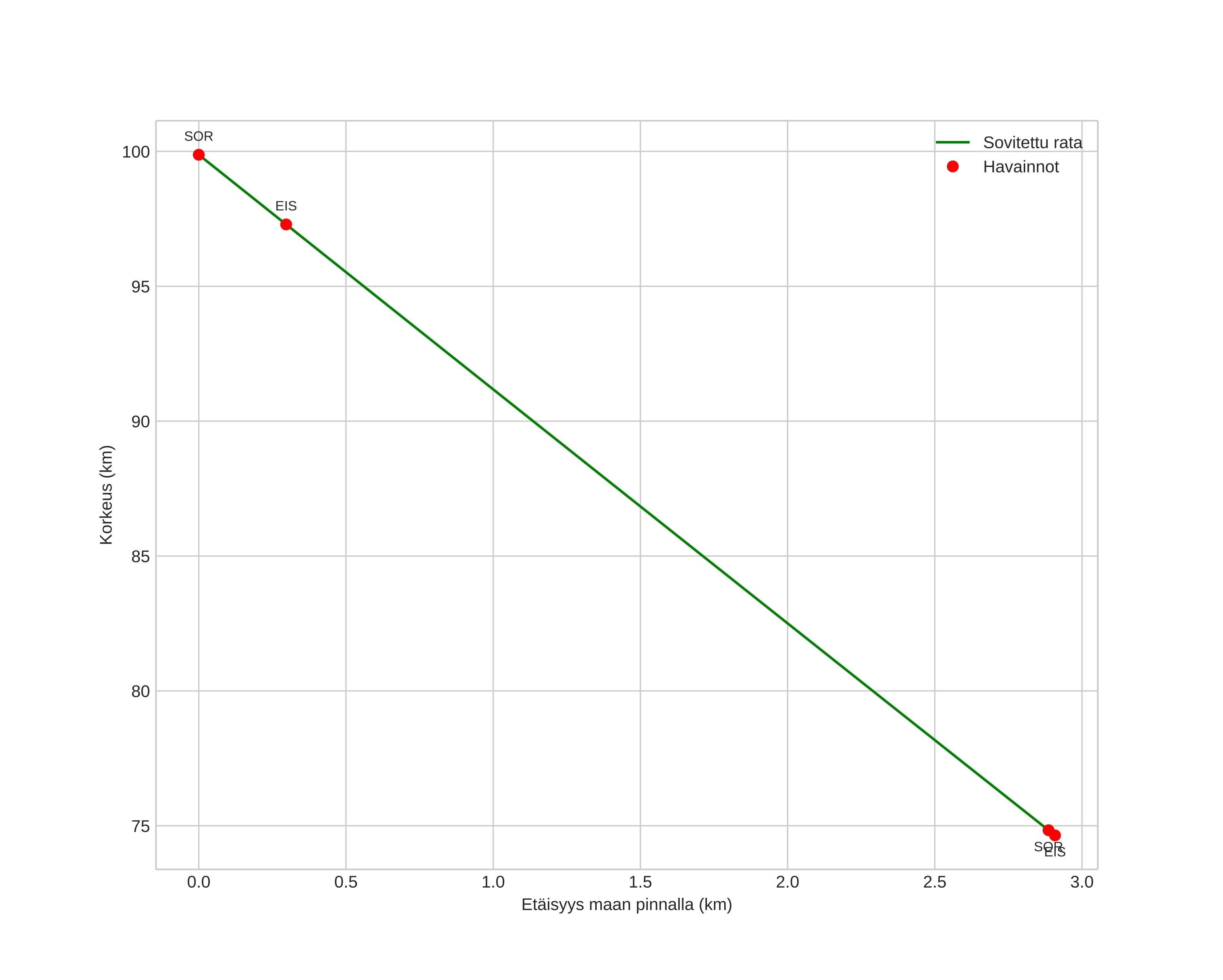
height profile
Meteorin ilmakehärata:
Alkukorkeus: 97,2 km
Loppukorkeus: 74,8 km
Alkupiste: 68,679N 17,037E
Loppupiste: 68,682N 16,949E
Suunta: 275,9°
Kallistuskulma: 81,0°
Tulonopeus: 31,0 km/s
Radiantin R,A,: 16:10 (242,5°)
Radiantin Dekl,: 66,0°
Meteoriparvi: Sporadinen
Meteoroidin rataelementit:
Perihelietäisyys: 0,979 AU
Eksentrisyys: 0,947
Inklinaatio: 43,3°
Nousevan solmun pituus: 351,9°
Perihelin argumentti: 194,2°
Keskianomalia: 359,9°
Epookki: 2023 MAR 13 02:10:43
orbit plot

Ei-interaktiivinen kuvaaja | Interaktiivinen kuvaaja

position vs time
speed and acceleration