🇳🇴 🇬🇧 🇩🇪 🇨🇿 🇫🇮

Meteor, poloha: Mjøndalen 2023-03-13 21:41:46 UTC

Soubor KML  |  InteraktivnĂ­ mapa

Mapa zobrazuje dráhy meteoru. Světlejší čáry ukazují směry od pozorovacích stanic při objevení se meteoru a tmavší čáry, kde byl naposledy viděn. Modrá šipka značí viditelnou dráhu meteoru.

static map
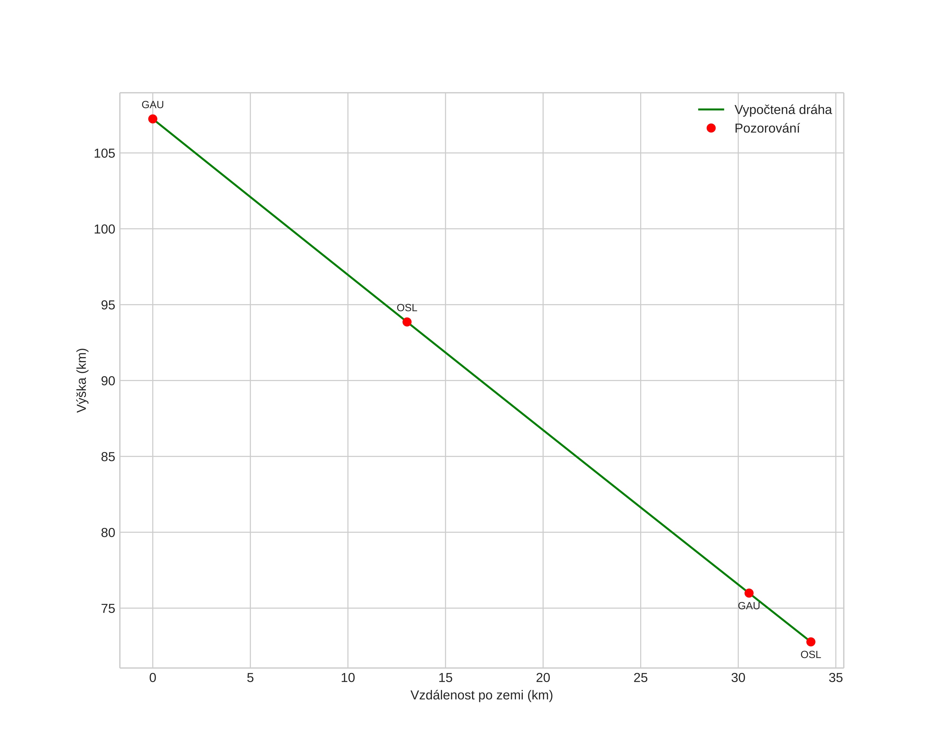
height profile
Atmosférická dráha meteoru:
Počáteční výška: 106,6 km
Konečná výška: 69,4 km
Počáteční poloha: 59,400N 10,512E
Konečná poloha: 59,635N 10,073E
Směr: 316,7°
Sklon: 45,9°
VstupnĂ­ rychlost: 29,3 km/s
Rektascenze radiantu: 11:51 (177,8°)
Deklinace radiantu: 19,6°
MeteorickĂ˝ roj: sporadickĂ˝
Elementy dráhy meteoroidu:
Vzdálenost v periheliu: 0,599 AU
Excentricita: 0,926
Sklon dráhy: 14,3°
Délka vzestupného uzlu: 352,7°
Argument perihelia: 260,0°
Střední anomálie: 358,3°
Epocha: 2023 MAR 13 21:41:46
orbit plot

NeinteraktivnĂ­ graf | InteraktivnĂ­ graf

position vs time
speed and acceleration