🇳🇴 🇬🇧 🇩🇪 🇨🇿 🇫🇮

Meteor Mjøndalenin yllä 2023-03-13 21:41:46 UTC

KML-tiedosto  |  Interaktiivinen kartta

Kartta näyttää meteorin suuntahavainnot. Vaaleammat viivat näyttävät suunnat havaintoasemilta meteorin ilmestyessä, ja tummemmat viivat näyttävät, missä se viimeksi nähtiin. Sininen nuoli näyttää meteorin näkyvän lennon.

static map
height profile
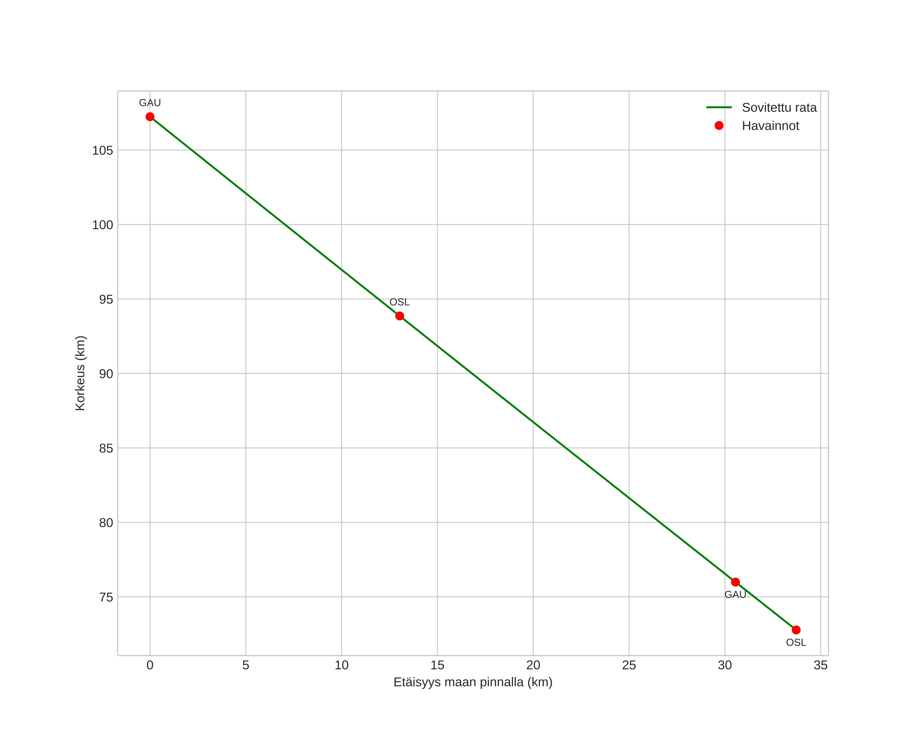
Meteorin ilmakehärata:
Alkukorkeus: 106,6 km
Loppukorkeus: 69,4 km
Alkupiste: 59,400N 10,512E
Loppupiste: 59,635N 10,073E
Suunta: 316,7°
Kallistuskulma: 45,9°
Tulonopeus: 29,3 km/s
Radiantin R,A,: 11:51 (177,8°)
Radiantin Dekl,: 19,6°
Meteoriparvi: Sporadinen
Meteoroidin rataelementit:
Perihelietäisyys: 0,599 AU
Eksentrisyys: 0,926
Inklinaatio: 14,3°
Nousevan solmun pituus: 352,7°
Perihelin argumentti: 260,0°
Keskianomalia: 358,3°
Epookki: 2023 MAR 13 21:41:46
orbit plot

Ei-interaktiivinen kuvaaja | Interaktiivinen kuvaaja

position vs time
speed and acceleration