🇳🇴 🇬🇧 🇩🇪 🇨🇿 🇫🇮

Meteor, poloha: Hamnvik 2023-03-13 23:02:03 UTC

Soubor KML  |  InteraktivnĂ­ mapa

Mapa zobrazuje dráhy meteoru. Světlejší čáry ukazují směry od pozorovacích stanic při objevení se meteoru a tmavší čáry, kde byl naposledy viděn. Modrá šipka značí viditelnou dráhu meteoru.

static map
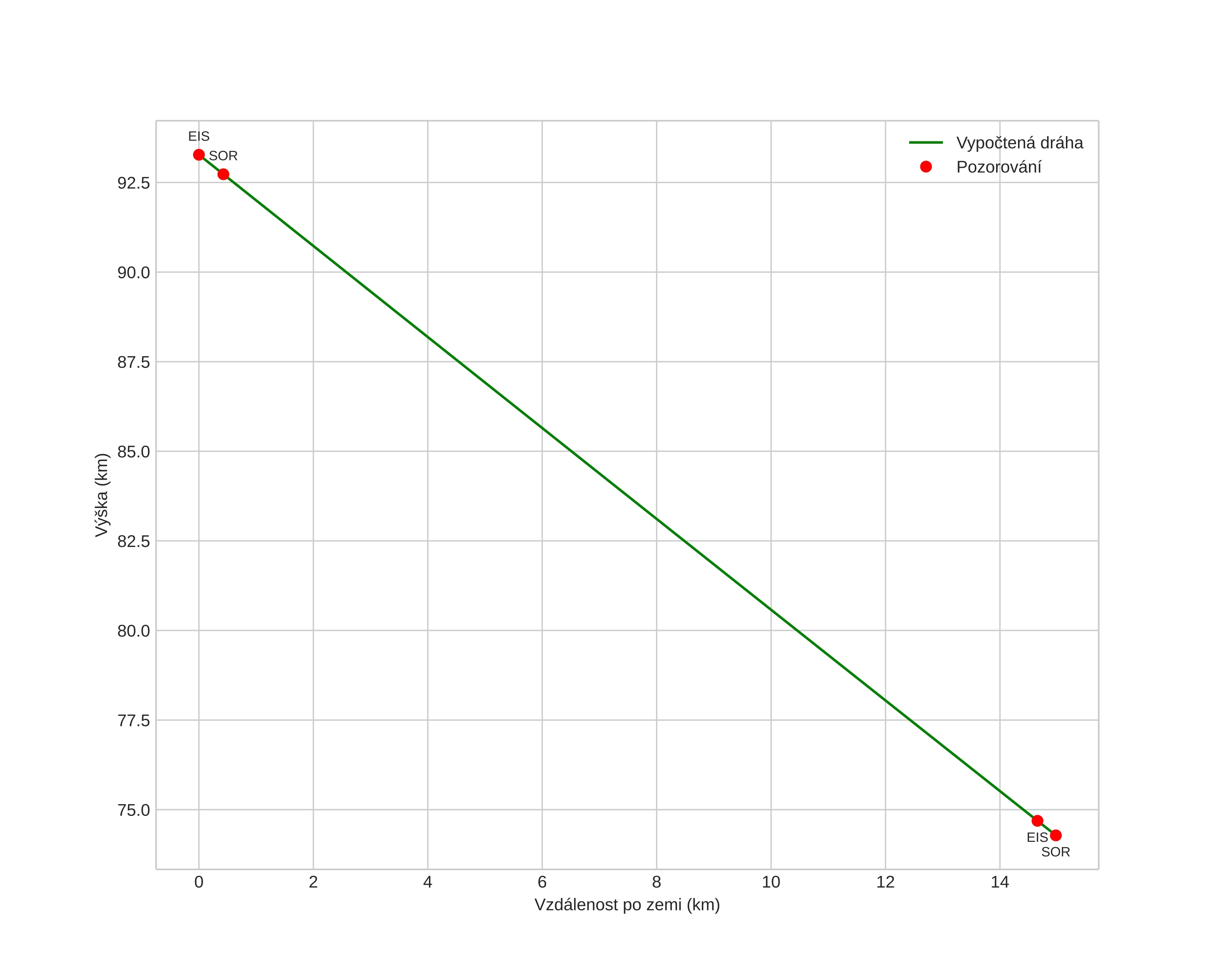
height profile
Atmosférická dráha meteoru:
Počáteční výška: 95,3 km
Konečná výška: 75,2 km
Počáteční poloha: 69,564N 17,186E
Konečná poloha: 69,460N 16,954E
Směr: 217,9°
Sklon: 53,8°
VstupnĂ­ rychlost: 31,9 km/s
Rektascenze radiantu: 19:15 (288,8°)
Deklinace radiantu: 65,9°
MeteorickĂ˝ roj: sporadickĂ˝
Elementy dráhy meteoroidu:
Vzdálenost v periheliu: 0,984 AU
Excentricita: 1,061
Sklon dráhy: 43,9°
Délka vzestupného uzlu: 352,8°
Argument perihelia: 168,7°
Střední anomálie: 0,1°
Epocha: 2023 MAR 13 23:02:03
orbit plot

NeinteraktivnĂ­ graf | InteraktivnĂ­ graf

position vs time
speed and acceleration