🇳🇴 🇬🇧 🇩🇪 🇨🇿 🇫🇮

Meteor Hamnvikin yllä 2023-03-13 23:02:03 UTC

KML-tiedosto  |  Interaktiivinen kartta

Kartta näyttää meteorin suuntahavainnot. Vaaleammat viivat näyttävät suunnat havaintoasemilta meteorin ilmestyessä, ja tummemmat viivat näyttävät, missä se viimeksi nähtiin. Sininen nuoli näyttää meteorin näkyvän lennon.

static map
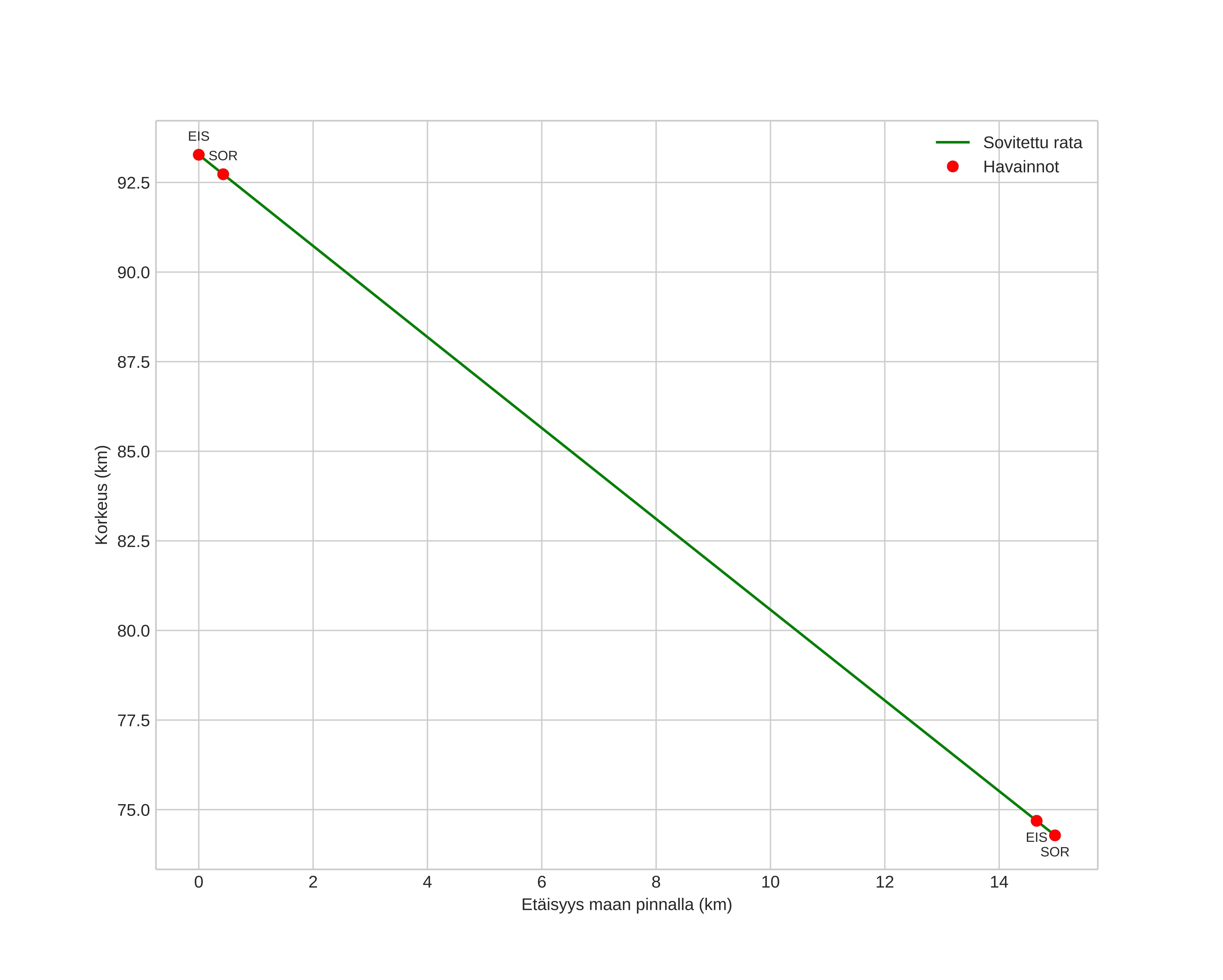
height profile
Meteorin ilmakehärata:
Alkukorkeus: 95,3 km
Loppukorkeus: 75,2 km
Alkupiste: 69,564N 17,186E
Loppupiste: 69,460N 16,954E
Suunta: 217,9°
Kallistuskulma: 53,8°
Tulonopeus: 31,9 km/s
Radiantin R,A,: 19:15 (288,8°)
Radiantin Dekl,: 65,9°
Meteoriparvi: Sporadinen
Meteoroidin rataelementit:
Perihelietäisyys: 0,984 AU
Eksentrisyys: 1,061
Inklinaatio: 43,9°
Nousevan solmun pituus: 352,8°
Perihelin argumentti: 168,7°
Keskianomalia: 0,1°
Epookki: 2023 MAR 13 23:02:03
orbit plot

Ei-interaktiivinen kuvaaja | Interaktiivinen kuvaaja

position vs time
speed and acceleration