🇳🇴 🇬🇧 🇩🇪 🇨🇿 🇫🇮

Meteor, poloha: Halden 2023-03-16 03:51:01 UTC

Soubor KML  |  InteraktivnĂ­ mapa

Mapa zobrazuje dráhy meteoru. Světlejší čáry ukazují směry od pozorovacích stanic při objevení se meteoru a tmavší čáry, kde byl naposledy viděn. Modrá šipka značí viditelnou dráhu meteoru.

static map
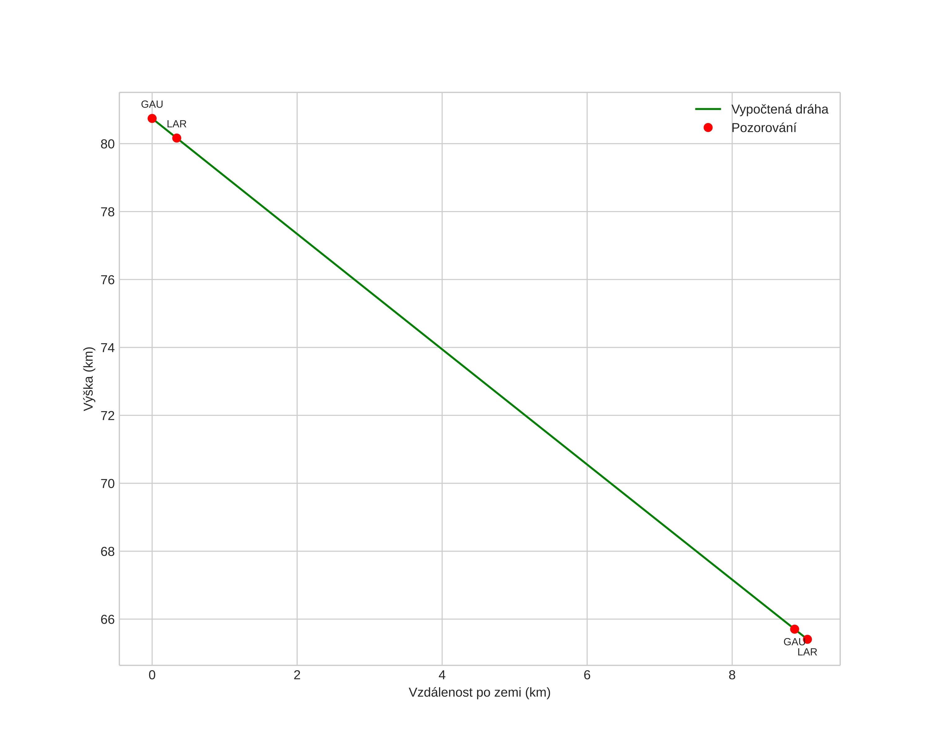
height profile
Atmosférická dráha meteoru:
Počáteční výška: 80,8 km
Konečná výška: 64,7 km
Počáteční poloha: 59,255N 11,485E
Konečná poloha: 59,170N 11,480E
Směr: 181,8°
Sklon: 59,6°
VstupnĂ­ rychlost: 16,9 km/s
Rektascenze radiantu: 03:55 (58,9°)
Deklinace radiantu: 86,0°
MeteorickĂ˝ roj: sporadickĂ˝
Elementy dráhy meteoroidu:
Vzdálenost v periheliu: 0,994 AU
Excentricita: 0,571
Sklon dráhy: 17,6°
Délka vzestupného uzlu: 355,0°
Argument perihelia: 178,2°
Střední anomálie: 0,4°
Epocha: 2023 MAR 16 03:51:01
orbit plot

NeinteraktivnĂ­ graf | InteraktivnĂ­ graf

position vs time
speed and acceleration