🇳🇴 🇬🇧 🇩🇪 🇨🇿 🇫🇮

Meteor Haldenin yllä 2023-03-16 03:51:01 UTC

KML-tiedosto  |  Interaktiivinen kartta

Kartta näyttää meteorin suuntahavainnot. Vaaleammat viivat näyttävät suunnat havaintoasemilta meteorin ilmestyessä, ja tummemmat viivat näyttävät, missä se viimeksi nähtiin. Sininen nuoli näyttää meteorin näkyvän lennon.

static map
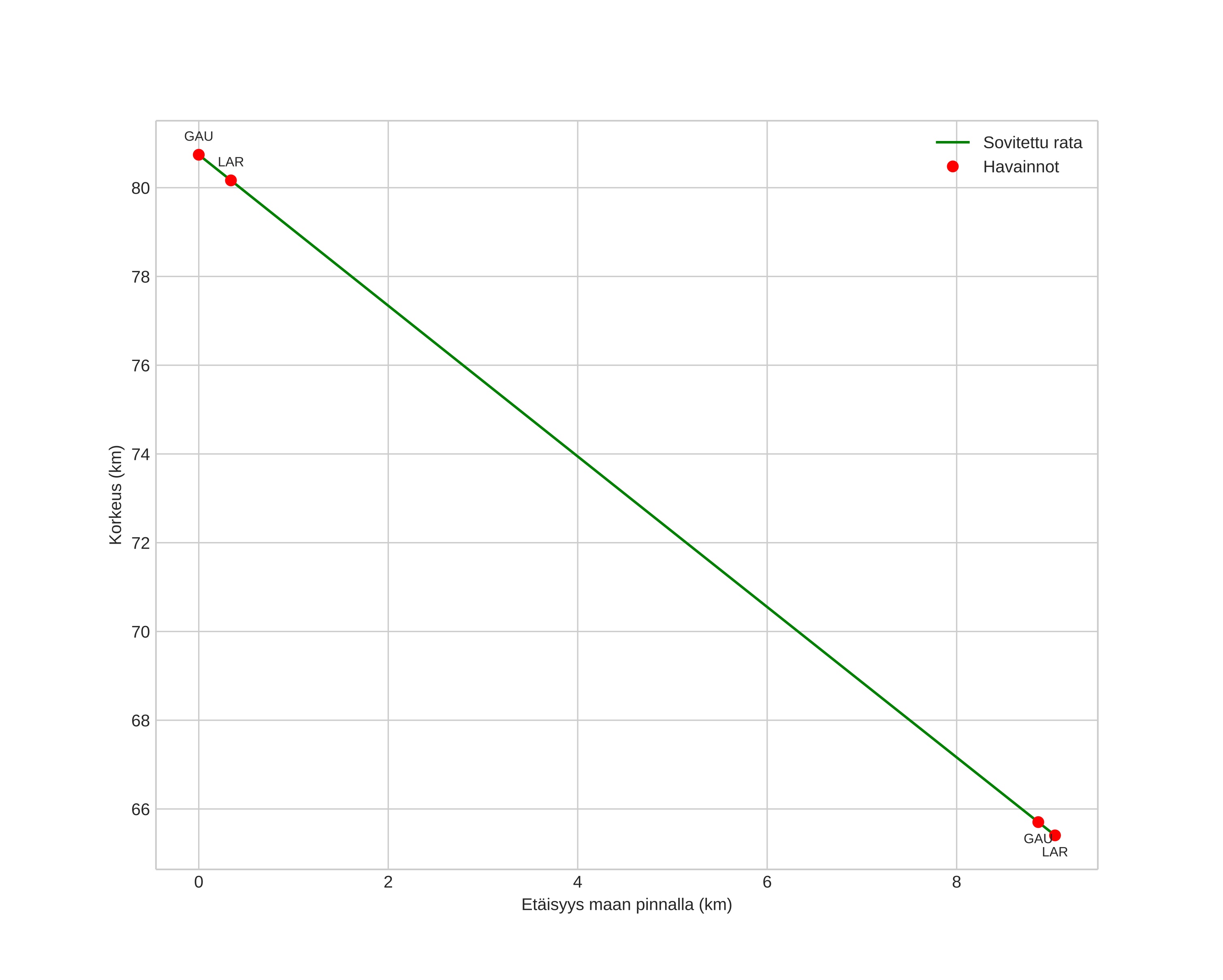
height profile
Meteorin ilmakehärata:
Alkukorkeus: 80,8 km
Loppukorkeus: 64,7 km
Alkupiste: 59,255N 11,485E
Loppupiste: 59,170N 11,480E
Suunta: 181,8°
Kallistuskulma: 59,6°
Tulonopeus: 16,9 km/s
Radiantin R,A,: 03:55 (58,9°)
Radiantin Dekl,: 86,0°
Meteoriparvi: Sporadinen
Meteoroidin rataelementit:
Perihelietäisyys: 0,994 AU
Eksentrisyys: 0,571
Inklinaatio: 17,6°
Nousevan solmun pituus: 355,0°
Perihelin argumentti: 178,2°
Keskianomalia: 0,4°
Epookki: 2023 MAR 16 03:51:01
orbit plot

Ei-interaktiivinen kuvaaja | Interaktiivinen kuvaaja

position vs time
speed and acceleration