🇳🇴 🇬🇧 🇩🇪 🇨🇿 🇫🇮

Meteor, poloha: Hatteng 2023-03-23 20:06:02 UTC

Soubor KML  |  InteraktivnĂ­ mapa

Mapa zobrazuje dráhy meteoru. Světlejší čáry ukazují směry od pozorovacích stanic při objevení se meteoru a tmavší čáry, kde byl naposledy viděn. Modrá šipka značí viditelnou dráhu meteoru.

static map
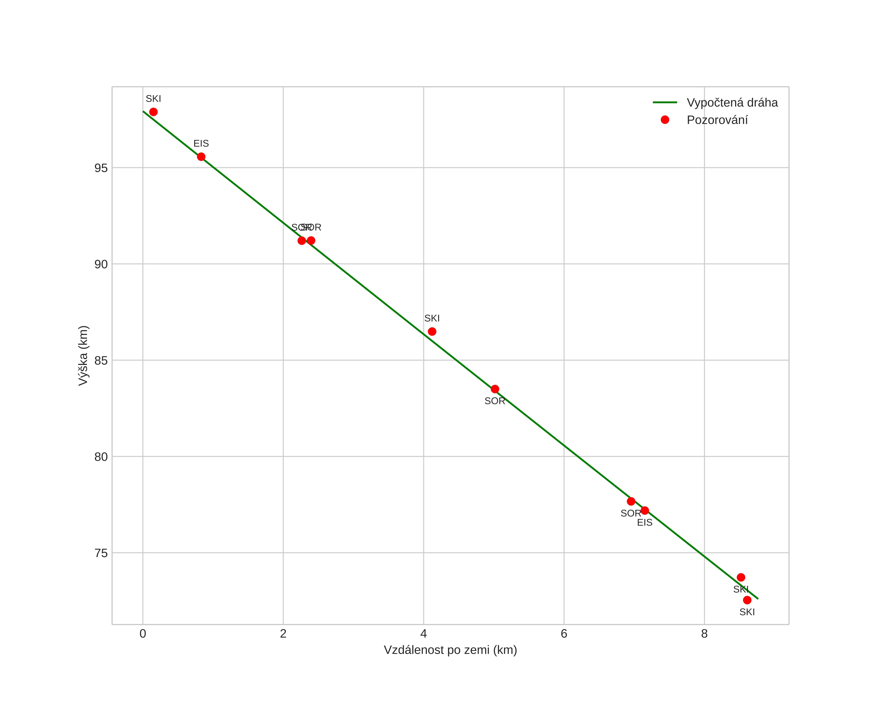
height profile
Atmosférická dráha meteoru:
Počáteční výška: 98,1 km
Konečná výška: 72,2 km
Počáteční poloha: 69,115N 20,443E
Konečná poloha: 69,139N 20,228E
Směr: 287,7°
Sklon: 71,0°
VstupnĂ­ rychlost: 22,1 km/s
Rektascenze radiantu: 11:57 (179,3°)
Deklinace radiantu: 57,2°
MeteorickĂ˝ roj: sporadickĂ˝
Elementy dráhy meteoroidu:
Vzdálenost v periheliu: 0,938 AU
Excentricita: 0,878
Sklon dráhy: 21,7°
Délka vzestupného uzlu: 2,6°
Argument perihelia: 209,0°
Střední anomálie: 359,1°
Epocha: 2023 MAR 23 20:06:02
orbit plot

NeinteraktivnĂ­ graf | InteraktivnĂ­ graf

position vs time
speed and acceleration

Sorreisa (SOR) cam4

gnomonic
Videa
• Původní
Obrázky
• Původní
Textové soubory
• Detekce
• Pozorování
• Souřadnice
• Chybová hlášení
• Protokol
Jasnost