🇳🇴 🇬🇧 🇩🇪 🇨🇿 🇫🇮

Meteor über Hatteng 2023-03-23 20:06:02 UTC

KML-Datei  |  Interaktive Karte

Die Karte zeigt die Peilungen für den Meteor. Die helleren Linien zeigen die Richtungen von den Beobachtungsorten beim Erscheinen des Meteors, und die dunkleren Linien, wo er zuletzt gesehen wurde. Der blaue Pfeil zeigt die sichtbare Bahn des Meteors.

static map
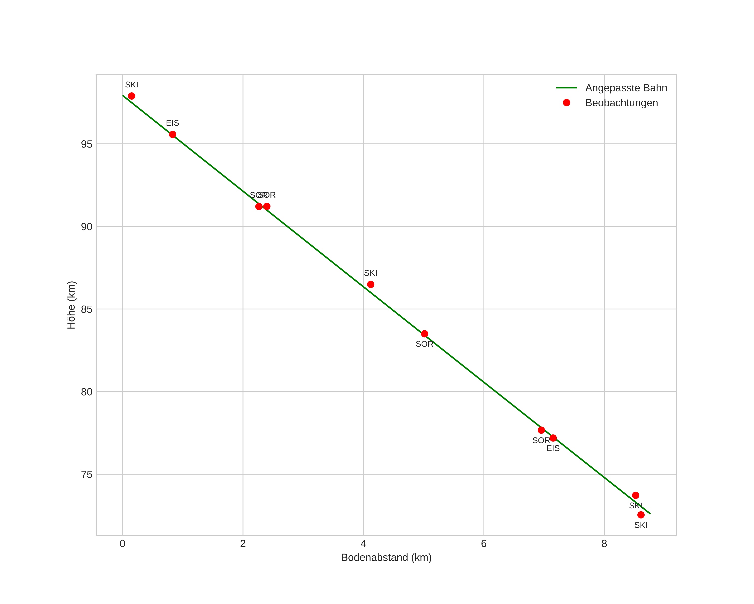
height profile
Atmosphärische Bahn des Meteors:
Anfangshöhe: 98,1 km
Endhöhe: 72,2 km
Startposition: 69,115N 20,443E
Endposition: 69,139N 20,228E
Richtung: 287,7°
Neigungswinkel: 71,0°
Eintrittsgeschwindigkeit: 22,1 km/s
Rektaszension des Radianten: 11:57 (179,3°)
Deklination des Radianten: 57,2°
Meteorstrom: sporadisch
Bahnelemente des Meteoroiden:
Periheldistanz: 0,938 AU
Exzentrizität: 0,878
Inklination: 21,7°
Länge des aufsteigenden Knotens: 2,6°
Argument des Perihels: 209,0°
Mittlere Anomalie: 359,1°
Epoche: 2023 MAR 23 20:06:02
orbit plot

Nicht-interaktives Diagramm | Interaktives Diagramm

position vs time
speed and acceleration

Sorreisa (SOR) cam4

gnomonic
Videos
• Original
Bilder
• Original
Textdateien
• Erkennung
• Beobachtung
• Koordinaten
• Fehlermeldungen
• Protokoll
Helligkeit