🇳🇴 🇬🇧 🇩🇪 🇨🇿 🇫🇮

Meteor, poloha: Storsteinnes 2023-03-23 23:30:56 UTC

Soubor KML  |  InteraktivnĂ­ mapa

Mapa zobrazuje dráhy meteoru. Světlejší čáry ukazují směry od pozorovacích stanic při objevení se meteoru a tmavší čáry, kde byl naposledy viděn. Modrá šipka značí viditelnou dráhu meteoru.

static map
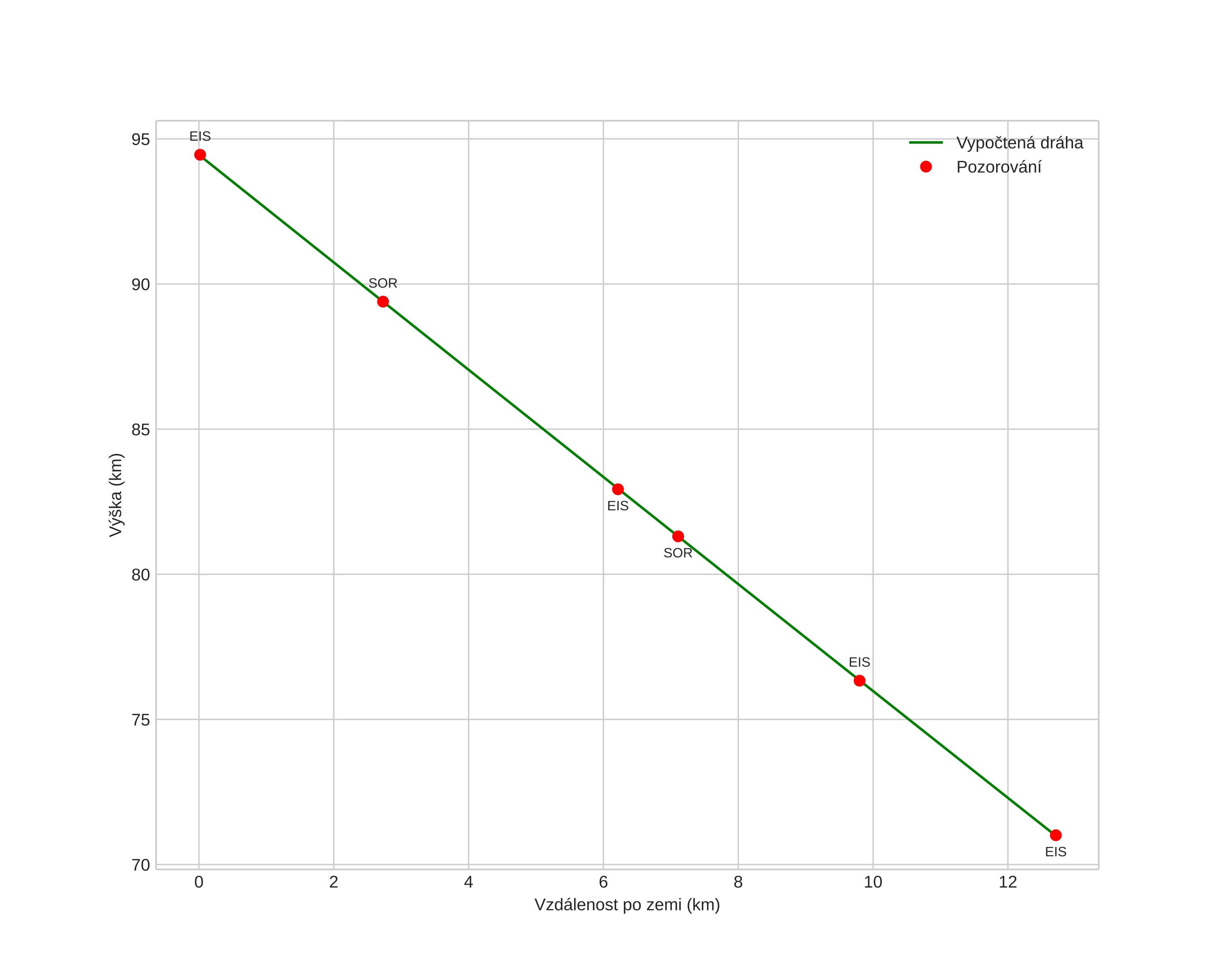
height profile
Atmosférická dráha meteoru:
Počáteční výška: 94,5 km
Konečná výška: 81,3 km
Počáteční poloha: 69,226N 19,423E
Konečná poloha: 69,192N 19,574E
Směr: 122,5°
Sklon: 61,8°
VstupnĂ­ rychlost: 14,7 km/s
Rektascenze radiantu: 06:57 (104,3°)
Deklinace radiantu: 61,1°
MeteorickĂ˝ roj: sporadickĂ˝
Elementy dráhy meteoroidu:
Vzdálenost v periheliu: 0,997 AU
Excentricita: 0,621
Sklon dráhy: 9,1°
Délka vzestupného uzlu: 2,8°
Argument perihelia: 181,2°
Střední anomálie: 359,8°
Epocha: 2023 MAR 23 23:30:56
orbit plot

NeinteraktivnĂ­ graf | InteraktivnĂ­ graf

position vs time
speed and acceleration