🇳🇴 🇬🇧 🇩🇪 🇨🇿 🇫🇮

Meteor Storsteinnesin yllä 2023-03-23 23:30:56 UTC

KML-tiedosto  |  Interaktiivinen kartta

Kartta näyttää meteorin suuntahavainnot. Vaaleammat viivat näyttävät suunnat havaintoasemilta meteorin ilmestyessä, ja tummemmat viivat näyttävät, missä se viimeksi nähtiin. Sininen nuoli näyttää meteorin näkyvän lennon.

static map
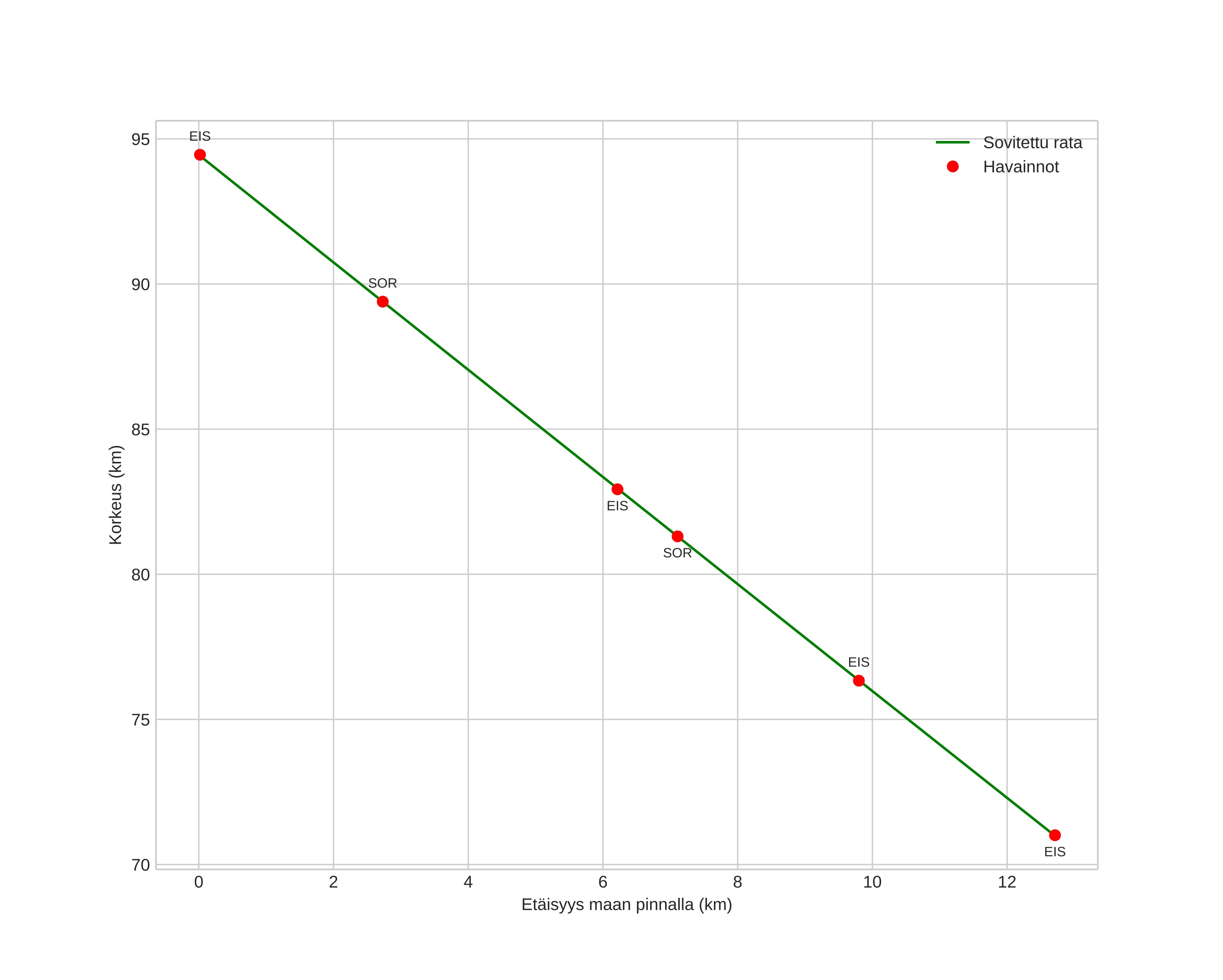
height profile
Meteorin ilmakehärata:
Alkukorkeus: 94,5 km
Loppukorkeus: 81,3 km
Alkupiste: 69,226N 19,423E
Loppupiste: 69,192N 19,574E
Suunta: 122,5°
Kallistuskulma: 61,8°
Tulonopeus: 14,7 km/s
Radiantin R,A,: 06:57 (104,3°)
Radiantin Dekl,: 61,1°
Meteoriparvi: Sporadinen
Meteoroidin rataelementit:
Perihelietäisyys: 0,997 AU
Eksentrisyys: 0,621
Inklinaatio: 9,1°
Nousevan solmun pituus: 2,8°
Perihelin argumentti: 181,2°
Keskianomalia: 359,8°
Epookki: 2023 MAR 23 23:30:56
orbit plot

Ei-interaktiivinen kuvaaja | Interaktiivinen kuvaaja

position vs time
speed and acceleration