🇳🇴 🇬🇧 🇩🇪 🇨🇿 🇫🇮

Meteor, poloha: Kiruna 2023-03-24 21:06:07 UTC

Soubor KML  |  InteraktivnĂ­ mapa

Mapa zobrazuje dráhy meteoru. Světlejší čáry ukazují směry od pozorovacích stanic při objevení se meteoru a tmavší čáry, kde byl naposledy viděn. Modrá šipka značí viditelnou dráhu meteoru.

static map
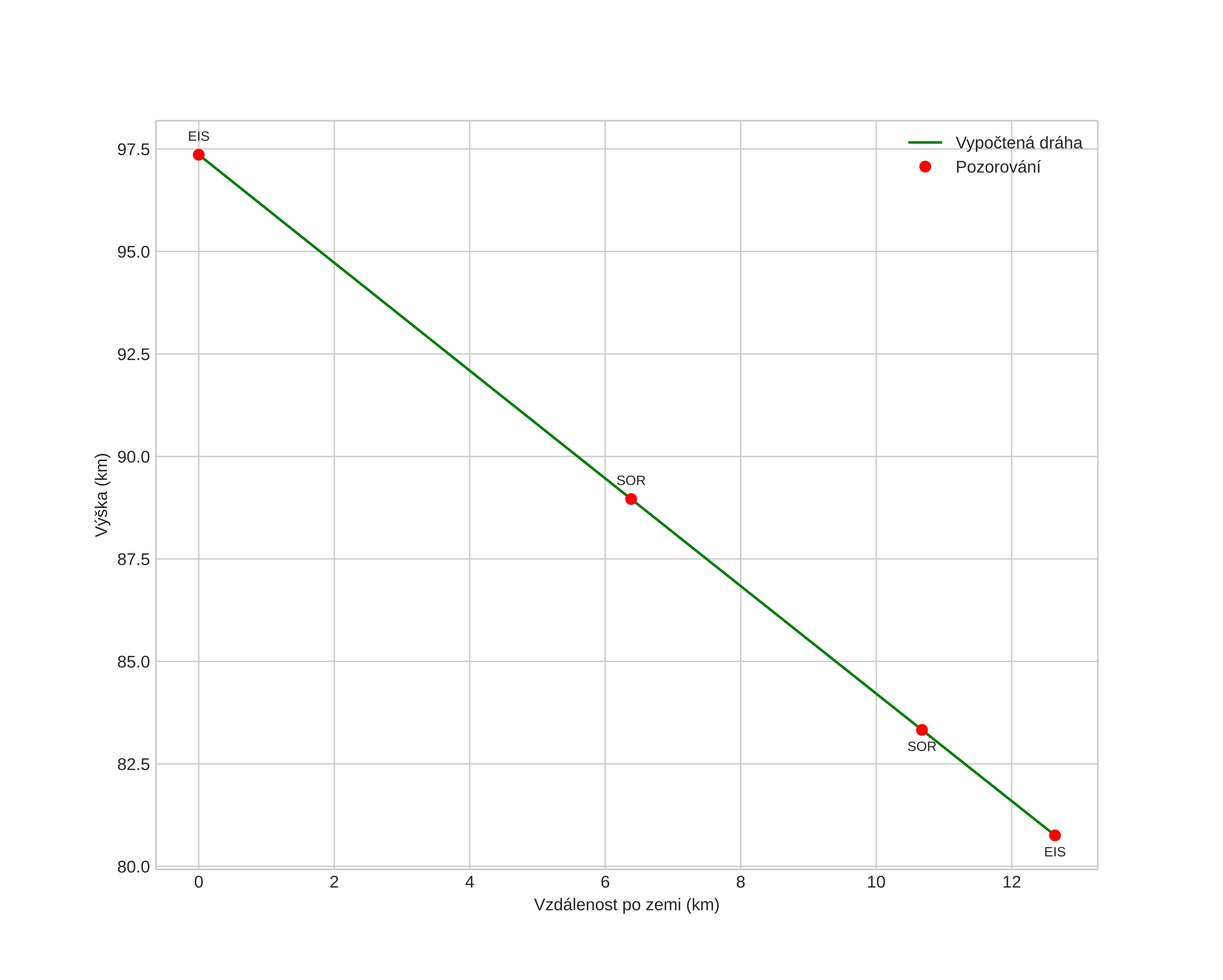
height profile
Atmosférická dráha meteoru:
Počáteční výška: 97,7 km
Konečná výška: 80,9 km
Počáteční poloha: 68,668N 21,359E
Konečná poloha: 68,574N 21,192E
Směr: 213,1°
Sklon: 53,5°
VstupnĂ­ rychlost: 25,3 km/s
Rektascenze radiantu: 18:43 (280,9°)
Deklinace radiantu: 67,0°
MeteorickĂ˝ roj: sporadickĂ˝
Elementy dráhy meteoroidu:
Vzdálenost v periheliu: 0,993 AU
Excentricita: 0,601
Sklon dráhy: 36,9°
Délka vzestupného uzlu: 3,6°
Argument perihelia: 171,2°
Střední anomálie: 1,8°
Epocha: 2023 MAR 24 21:06:07
orbit plot

NeinteraktivnĂ­ graf | InteraktivnĂ­ graf

position vs time
speed and acceleration