🇳🇴 🇬🇧 🇩🇪 🇨🇿 🇫🇮

Meteor Kirunan yllä 2023-03-24 21:06:07 UTC

KML-tiedosto  |  Interaktiivinen kartta

Kartta näyttää meteorin suuntahavainnot. Vaaleammat viivat näyttävät suunnat havaintoasemilta meteorin ilmestyessä, ja tummemmat viivat näyttävät, missä se viimeksi nähtiin. Sininen nuoli näyttää meteorin näkyvän lennon.

static map
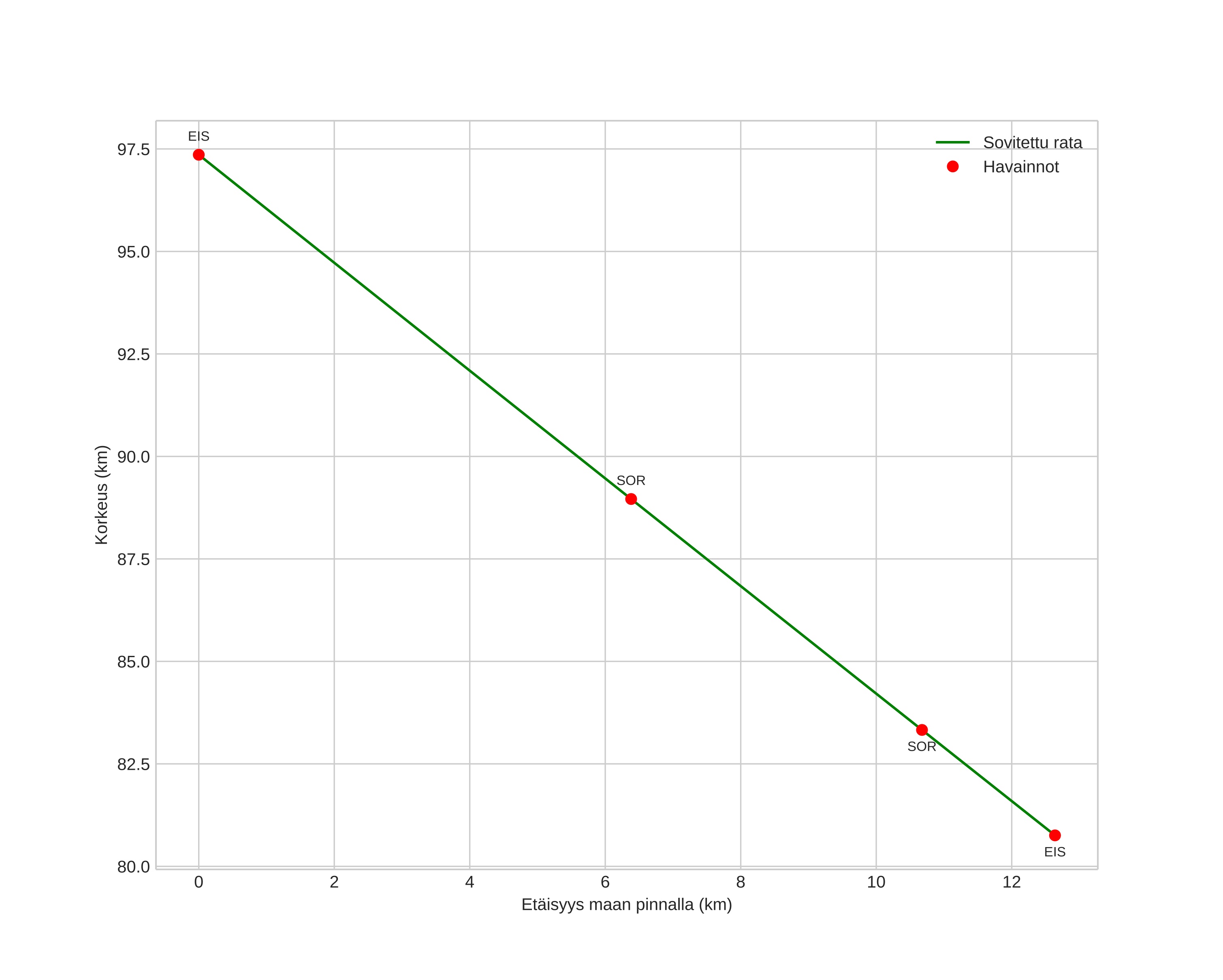
height profile
Meteorin ilmakehärata:
Alkukorkeus: 97,7 km
Loppukorkeus: 80,9 km
Alkupiste: 68,668N 21,359E
Loppupiste: 68,574N 21,192E
Suunta: 213,1°
Kallistuskulma: 53,5°
Tulonopeus: 25,3 km/s
Radiantin R,A,: 18:43 (280,9°)
Radiantin Dekl,: 67,0°
Meteoriparvi: Sporadinen
Meteoroidin rataelementit:
Perihelietäisyys: 0,993 AU
Eksentrisyys: 0,601
Inklinaatio: 36,9°
Nousevan solmun pituus: 3,6°
Perihelin argumentti: 171,2°
Keskianomalia: 1,8°
Epookki: 2023 MAR 24 21:06:07
orbit plot

Ei-interaktiivinen kuvaaja | Interaktiivinen kuvaaja

position vs time
speed and acceleration