🇳🇴 🇬🇧 🇩🇪 🇨🇿 🇫🇮

Meteor, poloha: Strömstad 2023-03-26 21:46:17 UTC

Soubor KML  |  InteraktivnĂ­ mapa

Mapa zobrazuje dráhy meteoru. Světlejší čáry ukazují směry od pozorovacích stanic při objevení se meteoru a tmavší čáry, kde byl naposledy viděn. Modrá šipka značí viditelnou dráhu meteoru.

static map
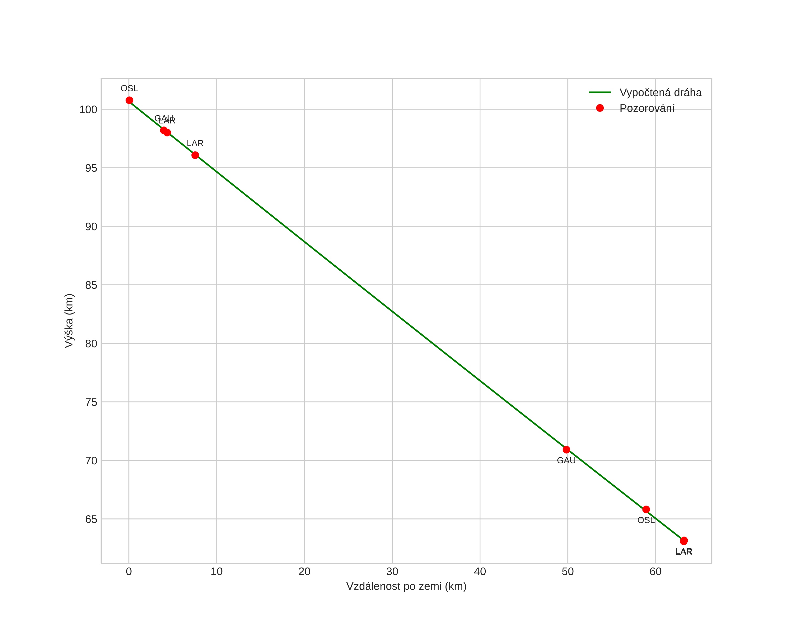
height profile
Atmosférická dráha meteoru:
Počáteční výška: 100,9 km
Konečná výška: 63,1 km
Počáteční poloha: 58,447N 11,817E
Konečná poloha: 58,919N 11,196E
Směr: 325,9°
Sklon: 30,7°
VstupnĂ­ rychlost: 28,8 km/s
Rektascenze radiantu: 12:45 (191,3°)
Deklinace radiantu: 1,2°
MeteorickĂ˝ roj: sporadickĂ˝
Elementy dráhy meteoroidu:
Vzdálenost v periheliu: 0,484 AU
Excentricita: 0,822
Sklon dráhy: 5,2°
Délka vzestupného uzlu: 5,7°
Argument perihelia: 278,1°
Střední anomálie: 350,4°
Epocha: 2023 MAR 26 21:46:17
orbit plot

NeinteraktivnĂ­ graf | InteraktivnĂ­ graf

position vs time
speed and acceleration