🇳🇴 🇬🇧 🇩🇪 🇨🇿 🇫🇮

Meteor Strömstadin yllä 2023-03-26 21:46:17 UTC

KML-tiedosto  |  Interaktiivinen kartta

Kartta näyttää meteorin suuntahavainnot. Vaaleammat viivat näyttävät suunnat havaintoasemilta meteorin ilmestyessä, ja tummemmat viivat näyttävät, missä se viimeksi nähtiin. Sininen nuoli näyttää meteorin näkyvän lennon.

static map
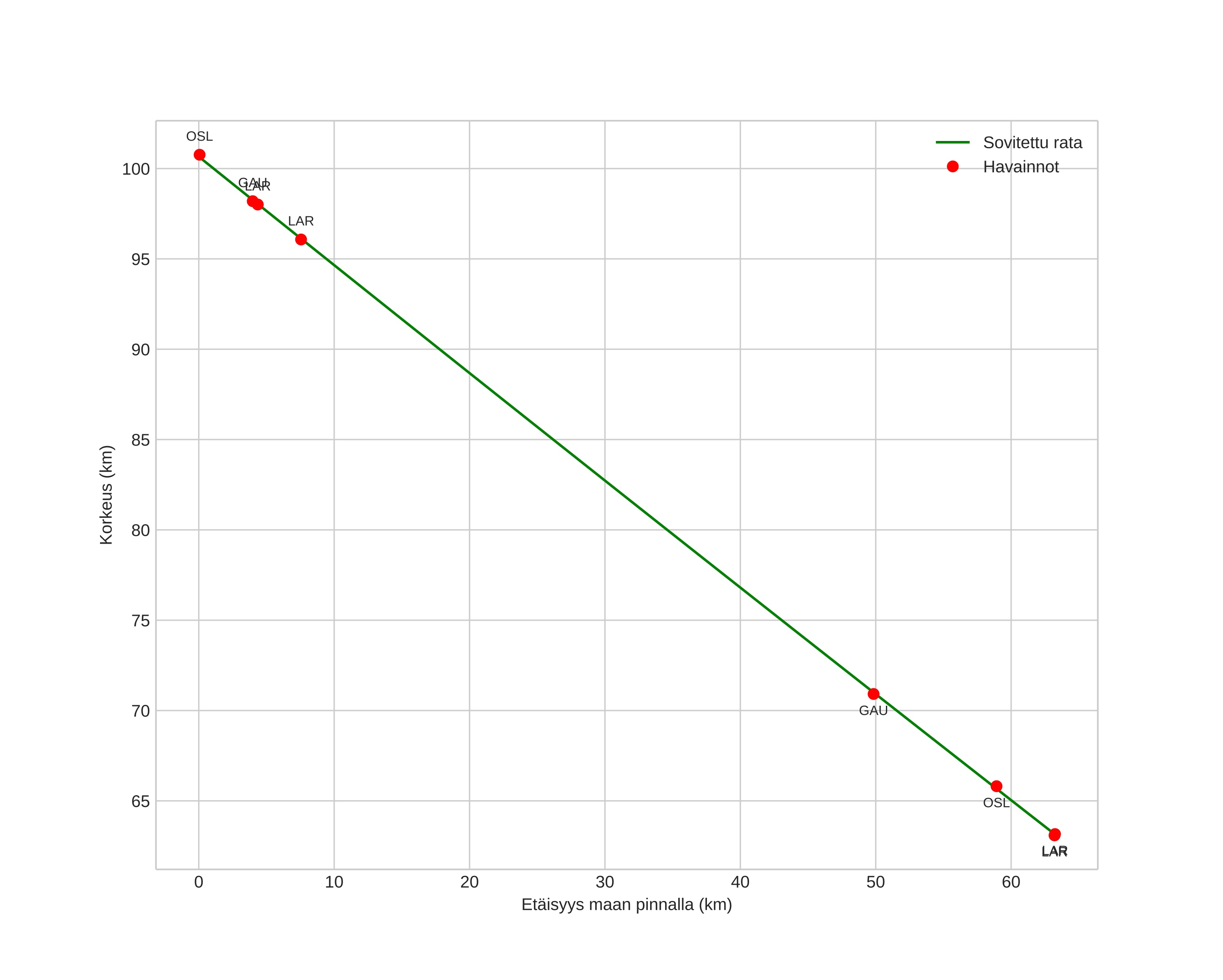
height profile
Meteorin ilmakehärata:
Alkukorkeus: 100,9 km
Loppukorkeus: 63,1 km
Alkupiste: 58,447N 11,817E
Loppupiste: 58,919N 11,196E
Suunta: 325,9°
Kallistuskulma: 30,7°
Tulonopeus: 28,8 km/s
Radiantin R,A,: 12:45 (191,3°)
Radiantin Dekl,: 1,2°
Meteoriparvi: Sporadinen
Meteoroidin rataelementit:
Perihelietäisyys: 0,484 AU
Eksentrisyys: 0,822
Inklinaatio: 5,2°
Nousevan solmun pituus: 5,7°
Perihelin argumentti: 278,1°
Keskianomalia: 350,4°
Epookki: 2023 MAR 26 21:46:17
orbit plot

Ei-interaktiivinen kuvaaja | Interaktiivinen kuvaaja

position vs time
speed and acceleration