🇳🇴 🇬🇧 🇩🇪 🇨🇿 🇫🇮

Meteor, poloha: Setermoen 2023-03-26 21:59:16 UTC

Soubor KML  |  InteraktivnĂ­ mapa

Mapa zobrazuje dráhy meteoru. Světlejší čáry ukazují směry od pozorovacích stanic při objevení se meteoru a tmavší čáry, kde byl naposledy viděn. Modrá šipka značí viditelnou dráhu meteoru.

static map
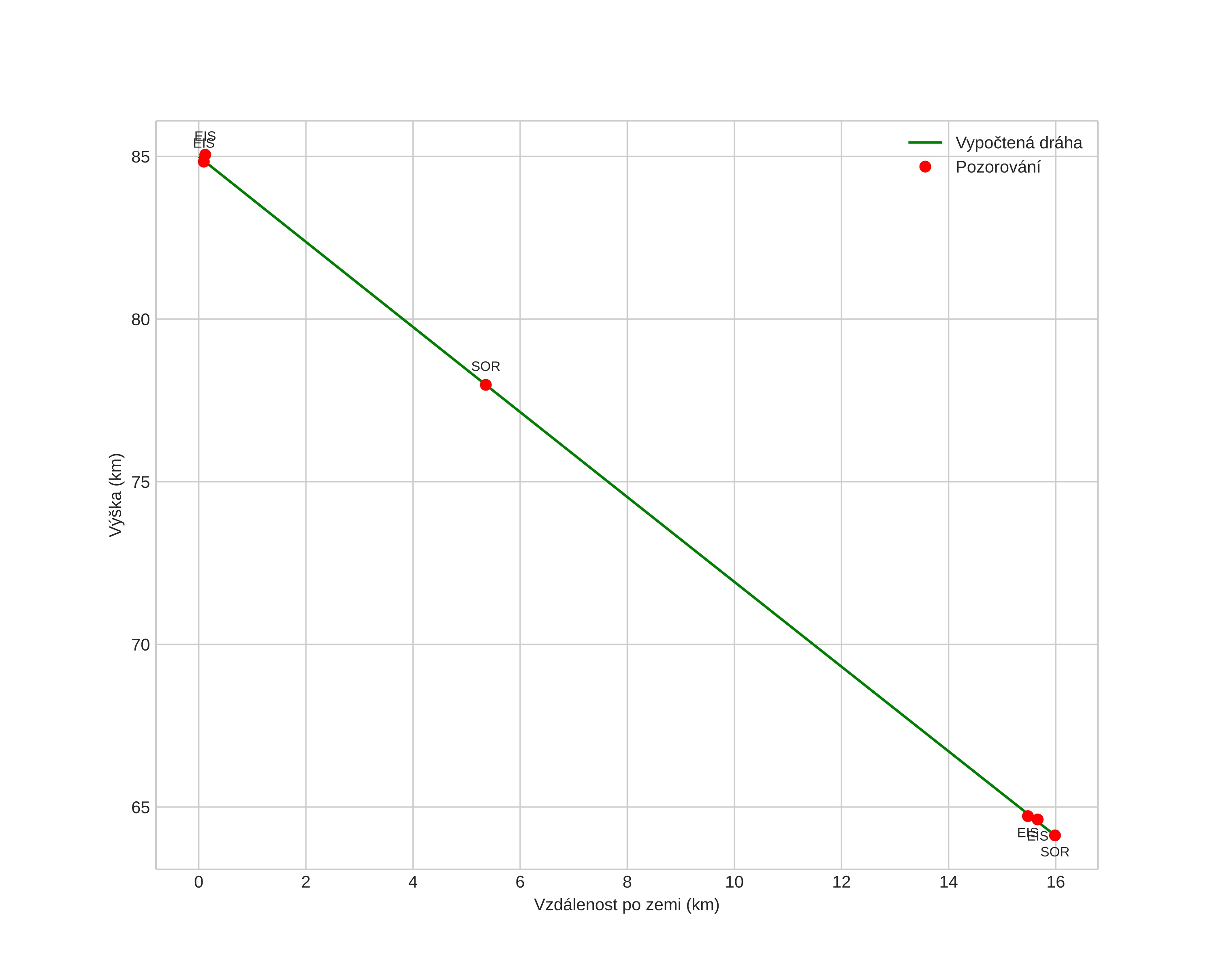
height profile
Atmosférická dráha meteoru:
Počáteční výška: 83,1 km
Konečná výška: 62,2 km
Počáteční poloha: 67,779N 18,438E
Konečná poloha: 67,679N 18,673E
Směr: 138,4°
Sklon: 54,4°
VstupnĂ­ rychlost: 15,9 km/s
Rektascenze radiantu: 04:02 (60,6°)
Deklinace radiantu: 60,9°
MeteorickĂ˝ roj: sporadickĂ˝
Elementy dráhy meteoroidu:
Vzdálenost v periheliu: 0,985 AU
Excentricita: 0,700
Sklon dráhy: 10,8°
Délka vzestupného uzlu: 5,7°
Argument perihelia: 165,5°
Střední anomálie: 1,8°
Epocha: 2023 MAR 26 21:59:16
orbit plot

NeinteraktivnĂ­ graf | InteraktivnĂ­ graf

position vs time
speed and acceleration