🇳🇴 🇬🇧 🇩🇪 🇨🇿 🇫🇮

Meteor Setermoenin yllä 2023-03-26 21:59:16 UTC

KML-tiedosto  |  Interaktiivinen kartta

Kartta näyttää meteorin suuntahavainnot. Vaaleammat viivat näyttävät suunnat havaintoasemilta meteorin ilmestyessä, ja tummemmat viivat näyttävät, missä se viimeksi nähtiin. Sininen nuoli näyttää meteorin näkyvän lennon.

static map
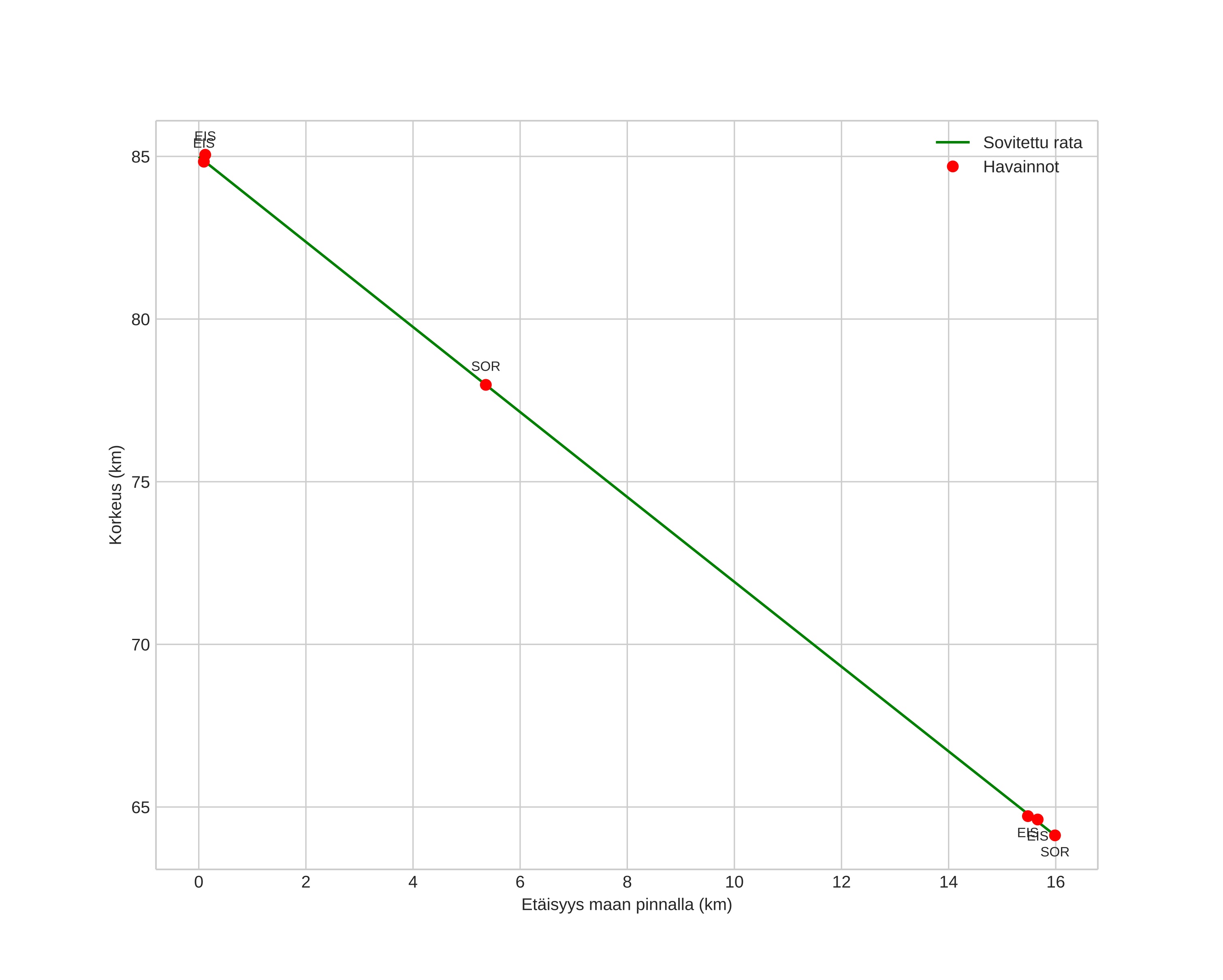
height profile
Meteorin ilmakehärata:
Alkukorkeus: 83,1 km
Loppukorkeus: 62,2 km
Alkupiste: 67,779N 18,438E
Loppupiste: 67,679N 18,673E
Suunta: 138,4°
Kallistuskulma: 54,4°
Tulonopeus: 15,9 km/s
Radiantin R,A,: 04:02 (60,6°)
Radiantin Dekl,: 60,9°
Meteoriparvi: Sporadinen
Meteoroidin rataelementit:
Perihelietäisyys: 0,985 AU
Eksentrisyys: 0,700
Inklinaatio: 10,8°
Nousevan solmun pituus: 5,7°
Perihelin argumentti: 165,5°
Keskianomalia: 1,8°
Epookki: 2023 MAR 26 21:59:16
orbit plot

Ei-interaktiivinen kuvaaja | Interaktiivinen kuvaaja

position vs time
speed and acceleration