🇳🇴 🇬🇧 🇩🇪 🇨🇿 🇫🇮

Meteor, poloha: Noresund 2023-04-01 22:22:46 UTC

Soubor KML  |  InteraktivnĂ­ mapa

Mapa zobrazuje dráhy meteoru. Světlejší čáry ukazují směry od pozorovacích stanic při objevení se meteoru a tmavší čáry, kde byl naposledy viděn. Modrá šipka značí viditelnou dráhu meteoru.

static map
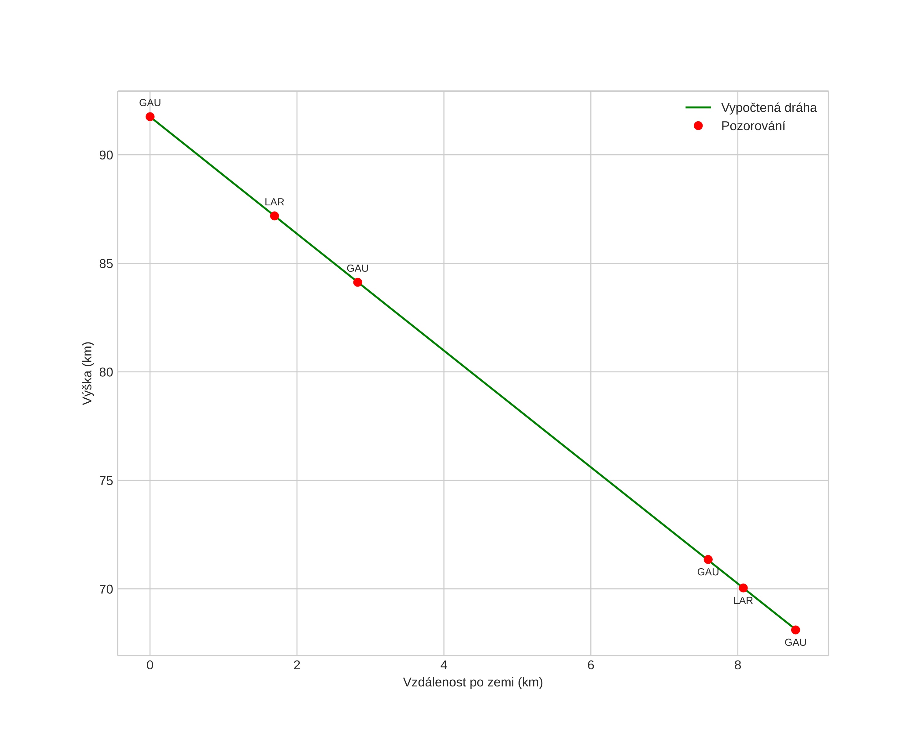
height profile
Atmosférická dráha meteoru:
Počáteční výška: 91,7 km
Konečná výška: 68,1 km
Počáteční poloha: 60,223N 9,735E
Konečná poloha: 60,175N 9,860E
Směr: 127,5°
Sklon: 69,7°
VstupnĂ­ rychlost: 14,7 km/s
Rektascenze radiantu: 07:55 (118,8°)
Deklinace radiantu: 65,4°
MeteorickĂ˝ roj: sporadickĂ˝
Elementy dráhy meteoroidu:
Vzdálenost v periheliu: 0,999 AU
Excentricita: 0,584
Sklon dráhy: 10,4°
Délka vzestupného uzlu: 11,6°
Argument perihelia: 180,3°
Střední anomálie: 359,9°
Epocha: 2023 APR 01 22:22:46
orbit plot

NeinteraktivnĂ­ graf | InteraktivnĂ­ graf

position vs time
speed and acceleration