🇳🇴 🇬🇧 🇩🇪 🇨🇿 🇫🇮

Meteor Noresundin yllä 2023-04-01 22:22:46 UTC

KML-tiedosto  |  Interaktiivinen kartta

Kartta näyttää meteorin suuntahavainnot. Vaaleammat viivat näyttävät suunnat havaintoasemilta meteorin ilmestyessä, ja tummemmat viivat näyttävät, missä se viimeksi nähtiin. Sininen nuoli näyttää meteorin näkyvän lennon.

static map
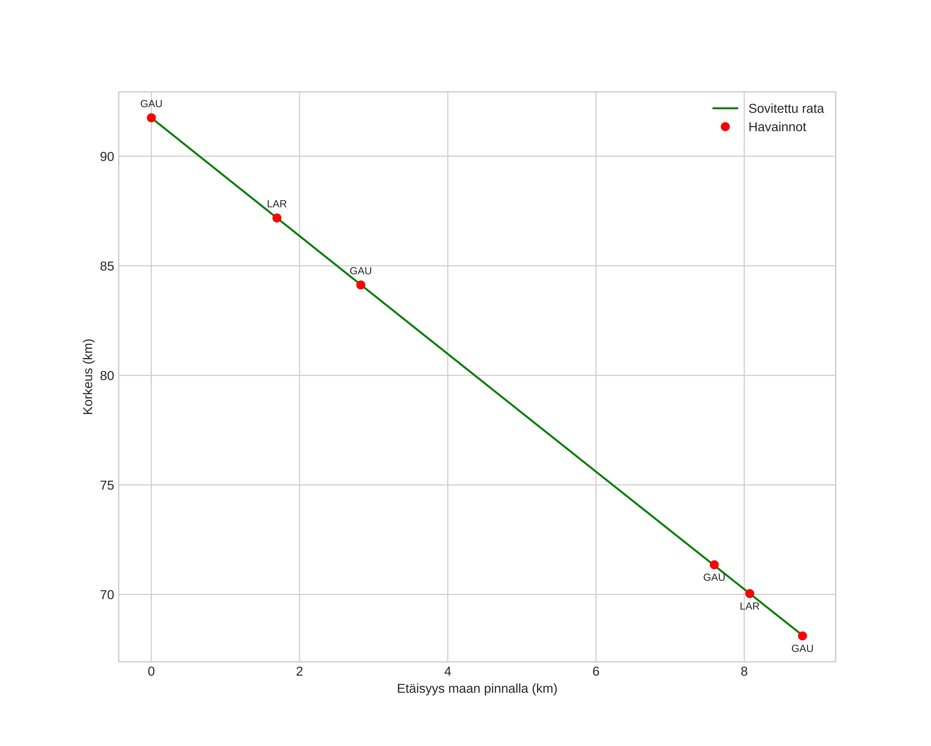
height profile
Meteorin ilmakehärata:
Alkukorkeus: 91,7 km
Loppukorkeus: 68,1 km
Alkupiste: 60,223N 9,735E
Loppupiste: 60,175N 9,860E
Suunta: 127,5°
Kallistuskulma: 69,7°
Tulonopeus: 14,7 km/s
Radiantin R,A,: 07:55 (118,8°)
Radiantin Dekl,: 65,4°
Meteoriparvi: Sporadinen
Meteoroidin rataelementit:
Perihelietäisyys: 0,999 AU
Eksentrisyys: 0,584
Inklinaatio: 10,4°
Nousevan solmun pituus: 11,6°
Perihelin argumentti: 180,3°
Keskianomalia: 359,9°
Epookki: 2023 APR 01 22:22:46
orbit plot

Ei-interaktiivinen kuvaaja | Interaktiivinen kuvaaja

position vs time
speed and acceleration