🇳🇴 🇬🇧 🇩🇪 🇨🇿 🇫🇮

Meteor, poloha: Fossby 2023-04-02 01:36:17 UTC

Soubor KML  |  InteraktivnĂ­ mapa

Mapa zobrazuje dráhy meteoru. Světlejší čáry ukazují směry od pozorovacích stanic při objevení se meteoru a tmavší čáry, kde byl naposledy viděn. Modrá šipka značí viditelnou dráhu meteoru.

static map
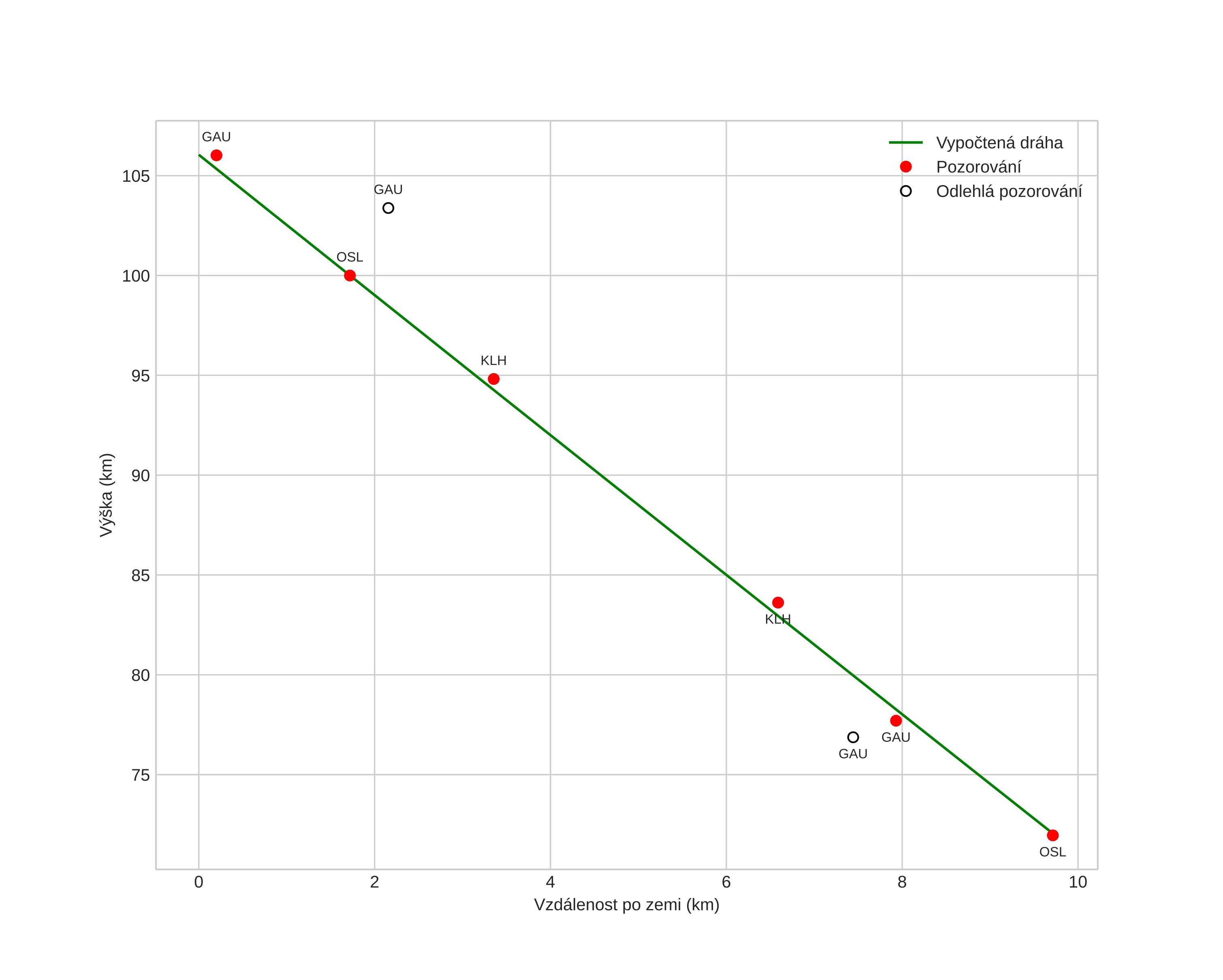
height profile
Atmosférická dráha meteoru:
Počáteční výška: 106,2 km
Konečná výška: 72,0 km
Počáteční poloha: 59,184N 11,859E
Konečná poloha: 59,249N 11,745E
Směr: 317,9°
Sklon: 74,1°
VstupnĂ­ rychlost: 47,3 km/s
Rektascenze radiantu: 16:03 (240,9°)
Deklinace radiantu: 46,0°
MeteorickĂ˝ roj: sporadickĂ˝
Elementy dráhy meteoroidu:
Vzdálenost v periheliu: 0,902 AU
Excentricita: 1,677
Sklon dráhy: 63,4°
Délka vzestupného uzlu: 11,7°
Argument perihelia: 212,4°
Střední anomálie: -11,8°
Epocha: 2023 APR 02 01:36:17
orbit plot

NeinteraktivnĂ­ graf | InteraktivnĂ­ graf

position vs time
speed and acceleration