🇳🇴 🇬🇧 🇩🇪 🇨🇿 🇫🇮

Meteor Fossbyn yllä 2023-04-02 01:36:17 UTC

KML-tiedosto  |  Interaktiivinen kartta

Kartta näyttää meteorin suuntahavainnot. Vaaleammat viivat näyttävät suunnat havaintoasemilta meteorin ilmestyessä, ja tummemmat viivat näyttävät, missä se viimeksi nähtiin. Sininen nuoli näyttää meteorin näkyvän lennon.

static map
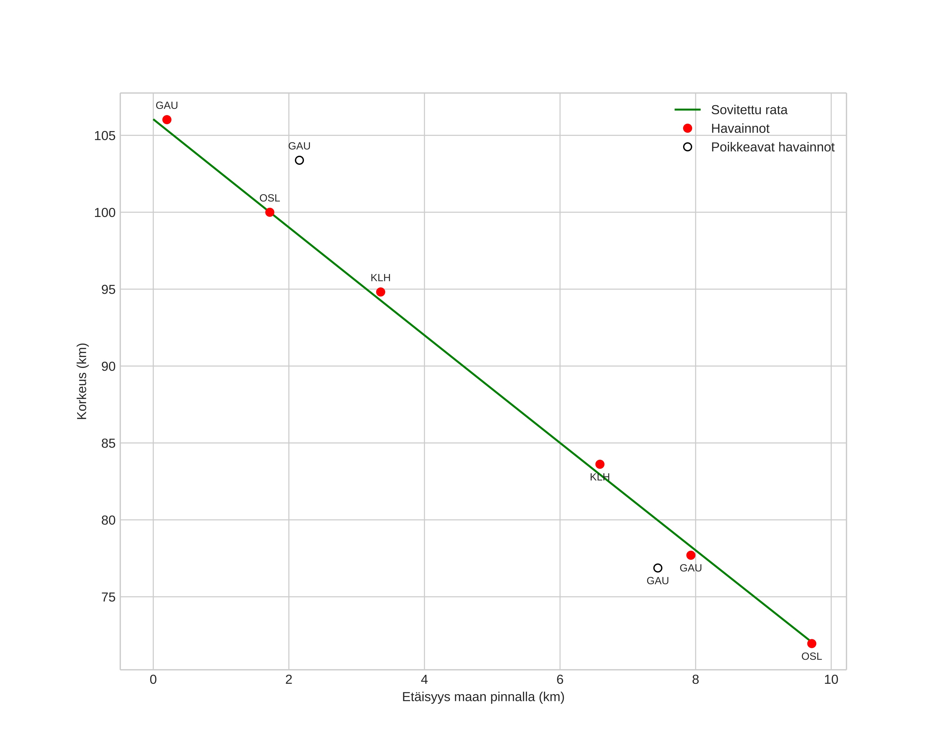
height profile
Meteorin ilmakehärata:
Alkukorkeus: 106,2 km
Loppukorkeus: 72,0 km
Alkupiste: 59,184N 11,859E
Loppupiste: 59,249N 11,745E
Suunta: 317,9°
Kallistuskulma: 74,1°
Tulonopeus: 47,3 km/s
Radiantin R,A,: 16:03 (240,9°)
Radiantin Dekl,: 46,0°
Meteoriparvi: Sporadinen
Meteoroidin rataelementit:
Perihelietäisyys: 0,902 AU
Eksentrisyys: 1,677
Inklinaatio: 63,4°
Nousevan solmun pituus: 11,7°
Perihelin argumentti: 212,4°
Keskianomalia: -11,8°
Epookki: 2023 APR 02 01:36:17
orbit plot

Ei-interaktiivinen kuvaaja | Interaktiivinen kuvaaja

position vs time
speed and acceleration