🇳🇴 🇬🇧 🇩🇪 🇨🇿 🇫🇮

Meteor, poloha: Skjærhalden 2023-04-08 00:07:18 UTC

Larvik – 3
Larvik – 3
Larvik – 4
Larvik – 4
Voksenlia – 1
Voksenlia – 1

Soubor KML  | Interaktivní mapa

map

Mapa zobrazuje dráhy meteoru. Světlejší čáry ukazují směry od pozorovacích stanic při objevení se meteoru a tmavší čáry, kde byl naposledy viděn. Modrá šipka značí viditelnou dráhu meteoru.

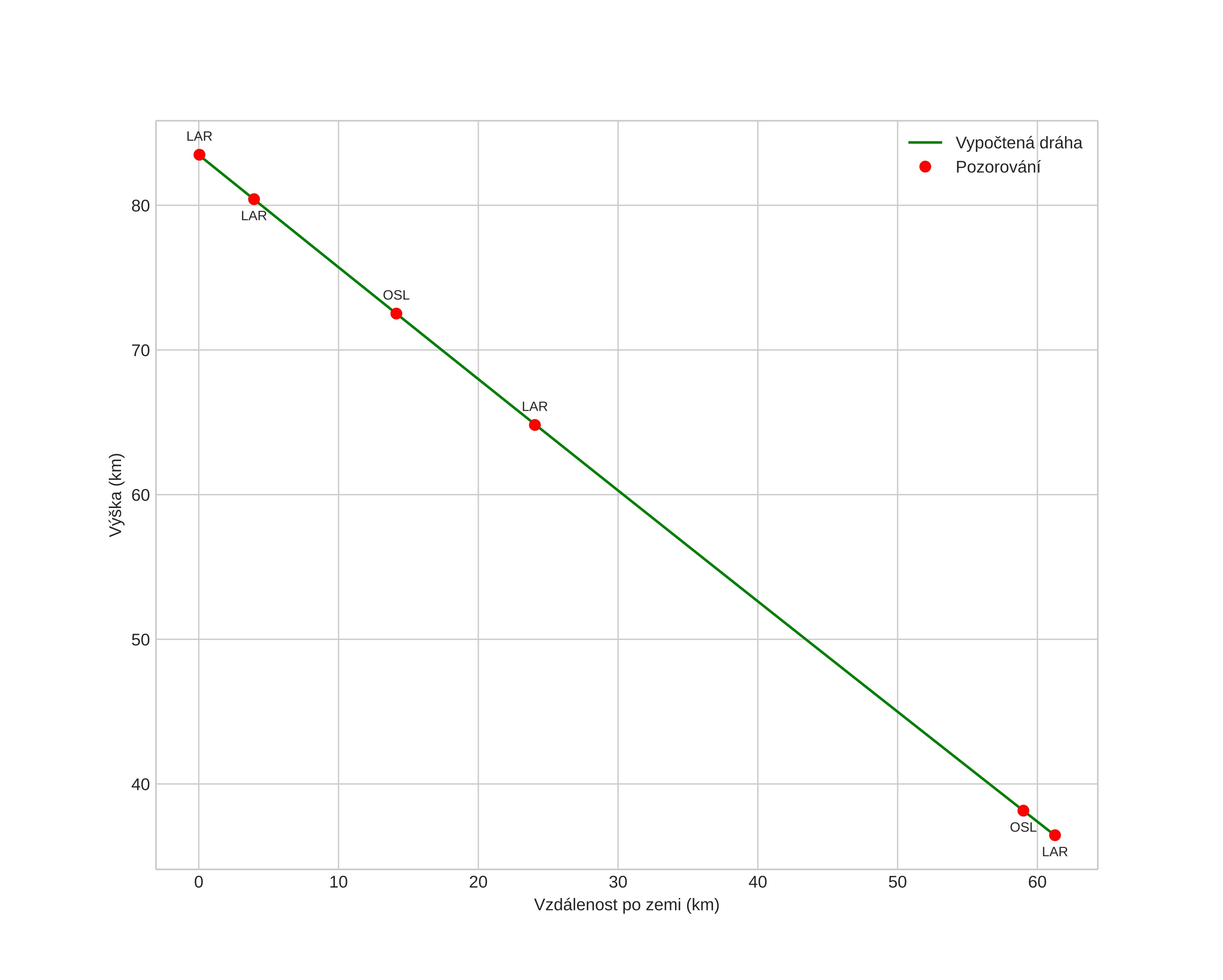
height profile
Atmosférická dráha meteoru:
Počáteční výška: 84,5 km
Konečná výška: 36,5 km
Počáteční poloha: 58,969N 9,746E
Konečná poloha: 58,958N 10,837E
Směr: 90,6°
Sklon: 37,5°
Vstupní rychlost: 11,4 km/s
Rektascenze radiantu: 07:59 (119,8°)
Deklinace radiantu: 5,5°
Meteorický roj: sporadický
Elementy dráhy meteoroidu:
Vzdálenost v periheliu: 1,001 AU
Excentricita: 0,223
Sklon dráhy: 1,5°
Délka vzestupného uzlu: 197,5°
Argument perihelia: 2,3°
Střední anomálie: 358,6°
Epocha: 2023 APR 08 00:07:18
orbit

Neinteraktivní graf | Interaktivní graf

position vs time
speed & acceleration