🇳🇴 🇬🇧 🇩🇪 🇨🇿 🇫🇮

Meteor über Skjærhalden 2023-04-08 00:07:18 UTC

Larvik – 3
Larvik – 3
Larvik – 4
Larvik – 4
Voksenlia – 1
Voksenlia – 1

KML-Datei  | Interaktive Karte

map

Die Karte zeigt die Peilungen für den Meteor. Die helleren Linien zeigen die Richtungen von den Beobachtungsorten beim Erscheinen des Meteors, und die dunkleren Linien, wo er zuletzt gesehen wurde. Der blaue Pfeil zeigt die sichtbare Bahn des Meteors.

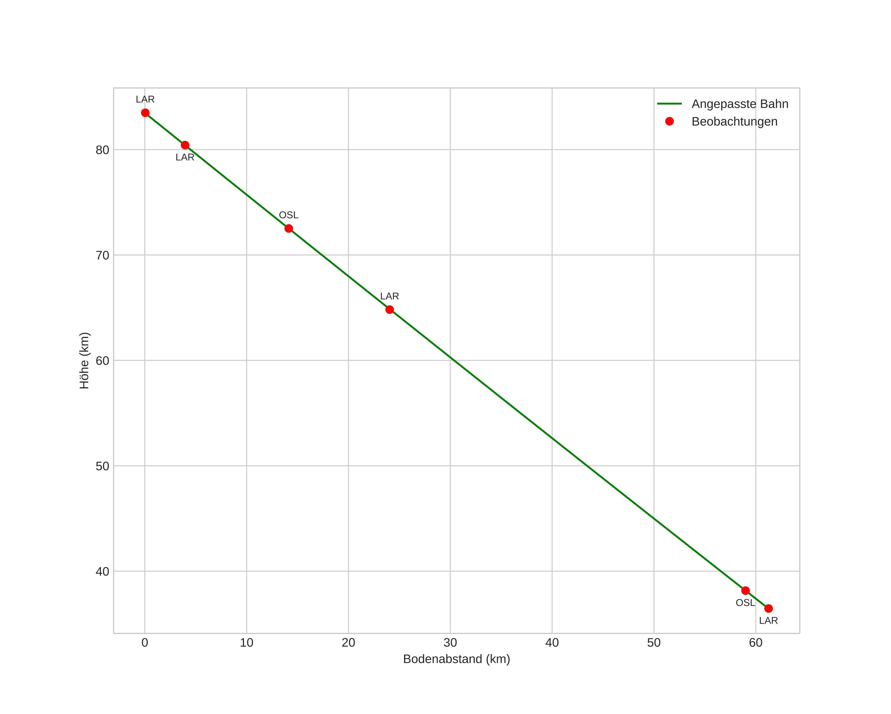
height profile
Atmosphärische Bahn des Meteors:
Anfangshöhe: 84,5 km
Endhöhe: 36,5 km
Startposition: 58,969N 9,746E
Endposition: 58,958N 10,837E
Richtung: 90,6°
Neigungswinkel: 37,5°
Eintrittsgeschwindigkeit: 11,4 km/s
Rektaszension des Radianten: 07:59 (119,8°)
Deklination des Radianten: 5,5°
Meteorstrom: sporadisch
Bahnelemente des Meteoroiden:
Periheldistanz: 1,001 AU
Exzentrizität: 0,223
Inklination: 1,5°
Länge des aufsteigenden Knotens: 197,5°
Argument des Perihels: 2,3°
Mittlere Anomalie: 358,6°
Epoche: 2023 APR 08 00:07:18
orbit

Nicht-interaktives Diagramm | Interaktives Diagramm

position vs time
speed & acceleration