🇳🇴 🇬🇧 🇩🇪 🇨🇿 🇫🇮

Meteor, poloha: Finnsnes 2023-04-10 21:46:52 UTC

Soubor KML  |  InteraktivnĂ­ mapa

Mapa zobrazuje dráhy meteoru. Světlejší čáry ukazují směry od pozorovacích stanic při objevení se meteoru a tmavší čáry, kde byl naposledy viděn. Modrá šipka značí viditelnou dráhu meteoru.

static map
height profile
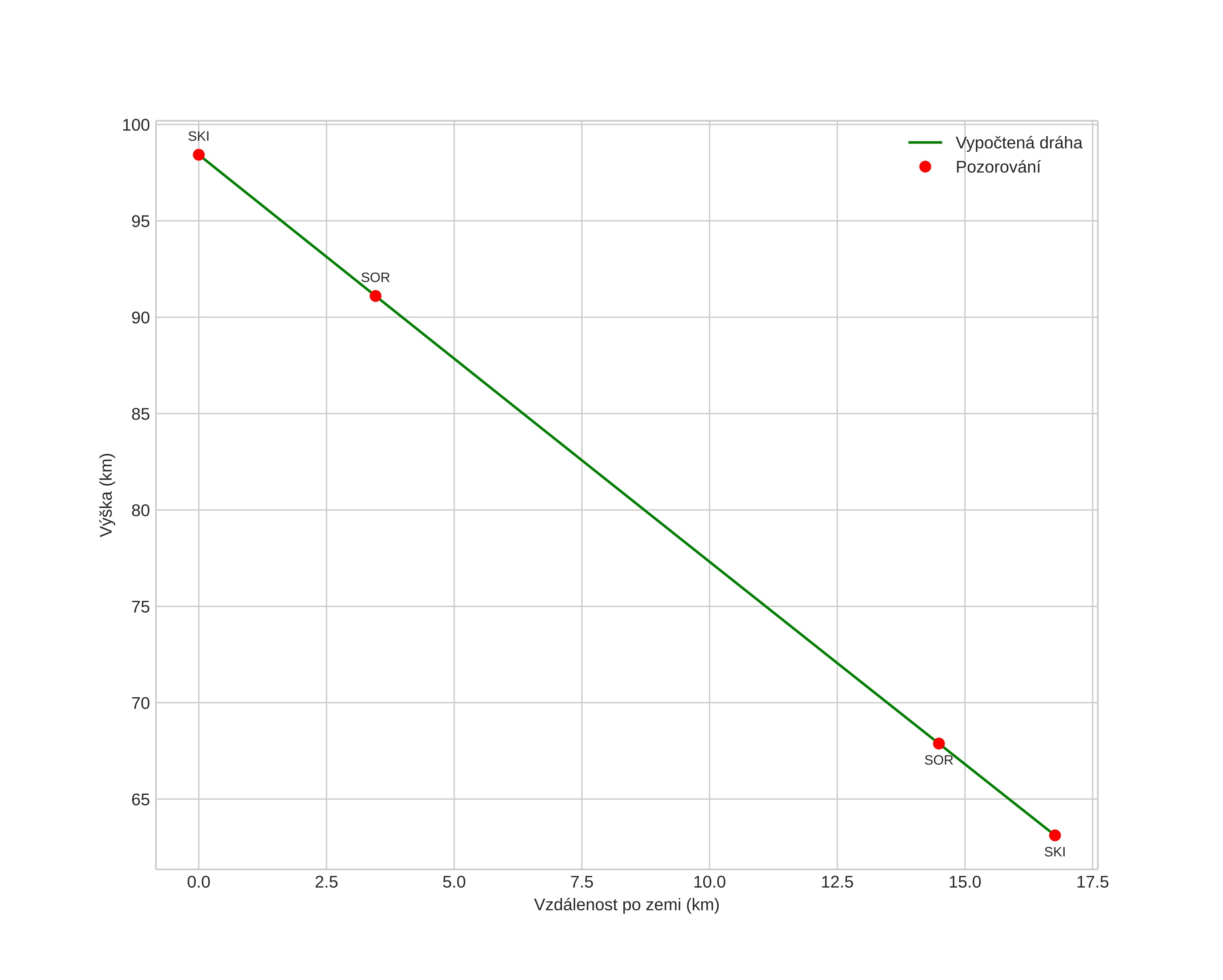
Atmosférická dráha meteoru:
Počáteční výška: 98,2 km
Konečná výška: 63,2 km
Počáteční poloha: 70,180N 18,323E
Konečná poloha: 70,120N 17,911E
Směr: 247,1°
Sklon: 64,2°
VstupnĂ­ rychlost: 28,7 km/s
Rektascenze radiantu: 17:00 (255,1°)
Deklinace radiantu: 64,2°
MeteorickĂ˝ roj: sporadickĂ˝
Elementy dráhy meteoroidu:
Vzdálenost v periheliu: 0,997 AU
Excentricita: 0,808
Sklon dráhy: 41,1°
Délka vzestupného uzlu: 20,4°
Argument perihelia: 188,0°
Střední anomálie: 359,5°
Epocha: 2023 APR 10 21:46:52
orbit plot

NeinteraktivnĂ­ graf | InteraktivnĂ­ graf

position vs time
speed and acceleration