🇳🇴 🇬🇧 🇩🇪 🇨🇿 🇫🇮

Meteor Finnsnesin yllä 2023-04-10 21:46:52 UTC

KML-tiedosto  |  Interaktiivinen kartta

Kartta näyttää meteorin suuntahavainnot. Vaaleammat viivat näyttävät suunnat havaintoasemilta meteorin ilmestyessä, ja tummemmat viivat näyttävät, missä se viimeksi nähtiin. Sininen nuoli näyttää meteorin näkyvän lennon.

static map
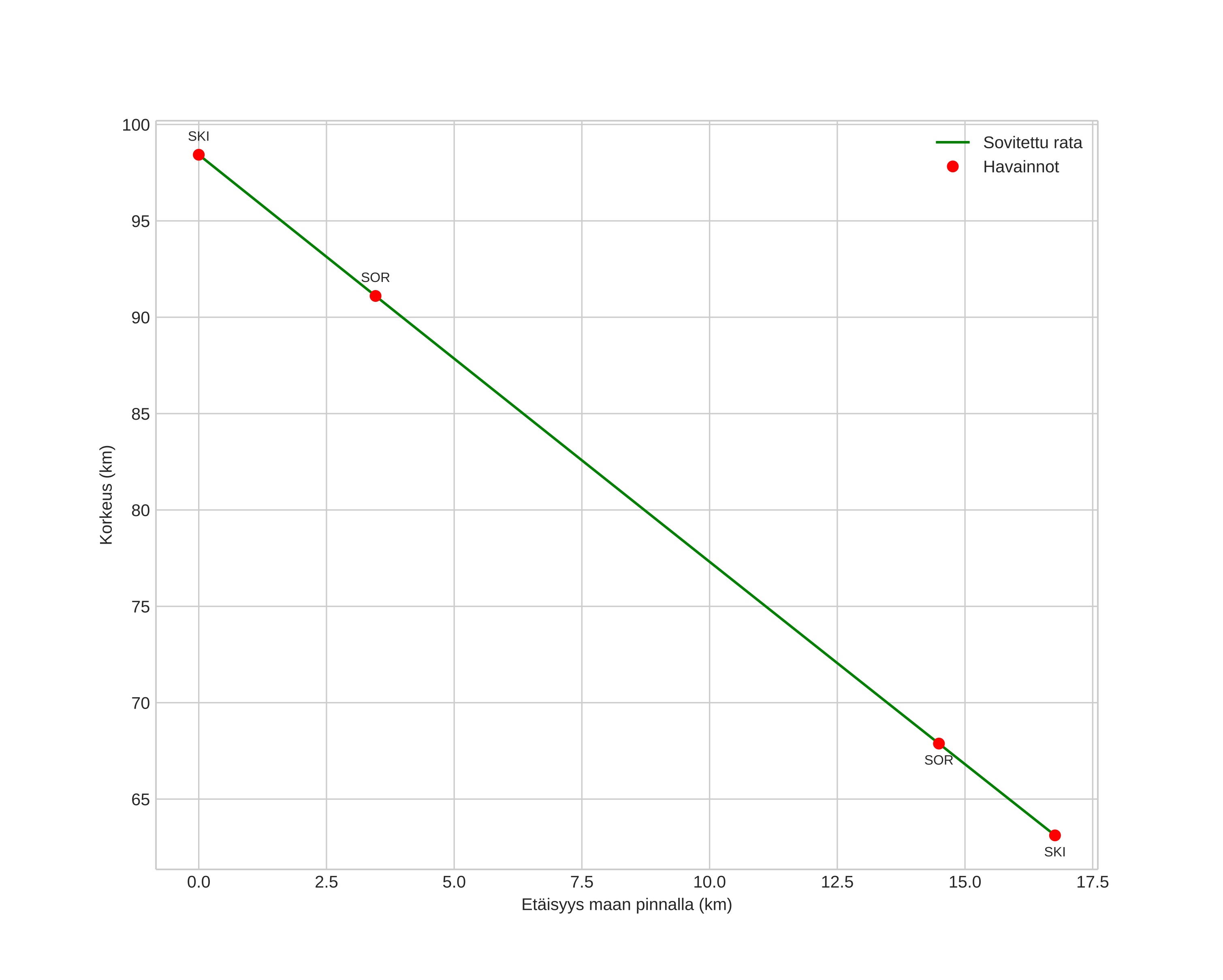
height profile
Meteorin ilmakehärata:
Alkukorkeus: 98,2 km
Loppukorkeus: 63,2 km
Alkupiste: 70,180N 18,323E
Loppupiste: 70,120N 17,911E
Suunta: 247,1°
Kallistuskulma: 64,2°
Tulonopeus: 28,7 km/s
Radiantin R,A,: 17:00 (255,1°)
Radiantin Dekl,: 64,2°
Meteoriparvi: Sporadinen
Meteoroidin rataelementit:
Perihelietäisyys: 0,997 AU
Eksentrisyys: 0,808
Inklinaatio: 41,1°
Nousevan solmun pituus: 20,4°
Perihelin argumentti: 188,0°
Keskianomalia: 359,5°
Epookki: 2023 APR 10 21:46:52
orbit plot

Ei-interaktiivinen kuvaaja | Interaktiivinen kuvaaja

position vs time
speed and acceleration