🇳🇴 🇬🇧 🇩🇪 🇨🇿 🇫🇮

Meteor, poloha: Finnsnes 2023-04-10 21:50:38 UTC

Soubor KML  |  InteraktivnĂ­ mapa

Mapa zobrazuje dráhy meteoru. Světlejší čáry ukazují směry od pozorovacích stanic při objevení se meteoru a tmavší čáry, kde byl naposledy viděn. Modrá šipka značí viditelnou dráhu meteoru.

static map
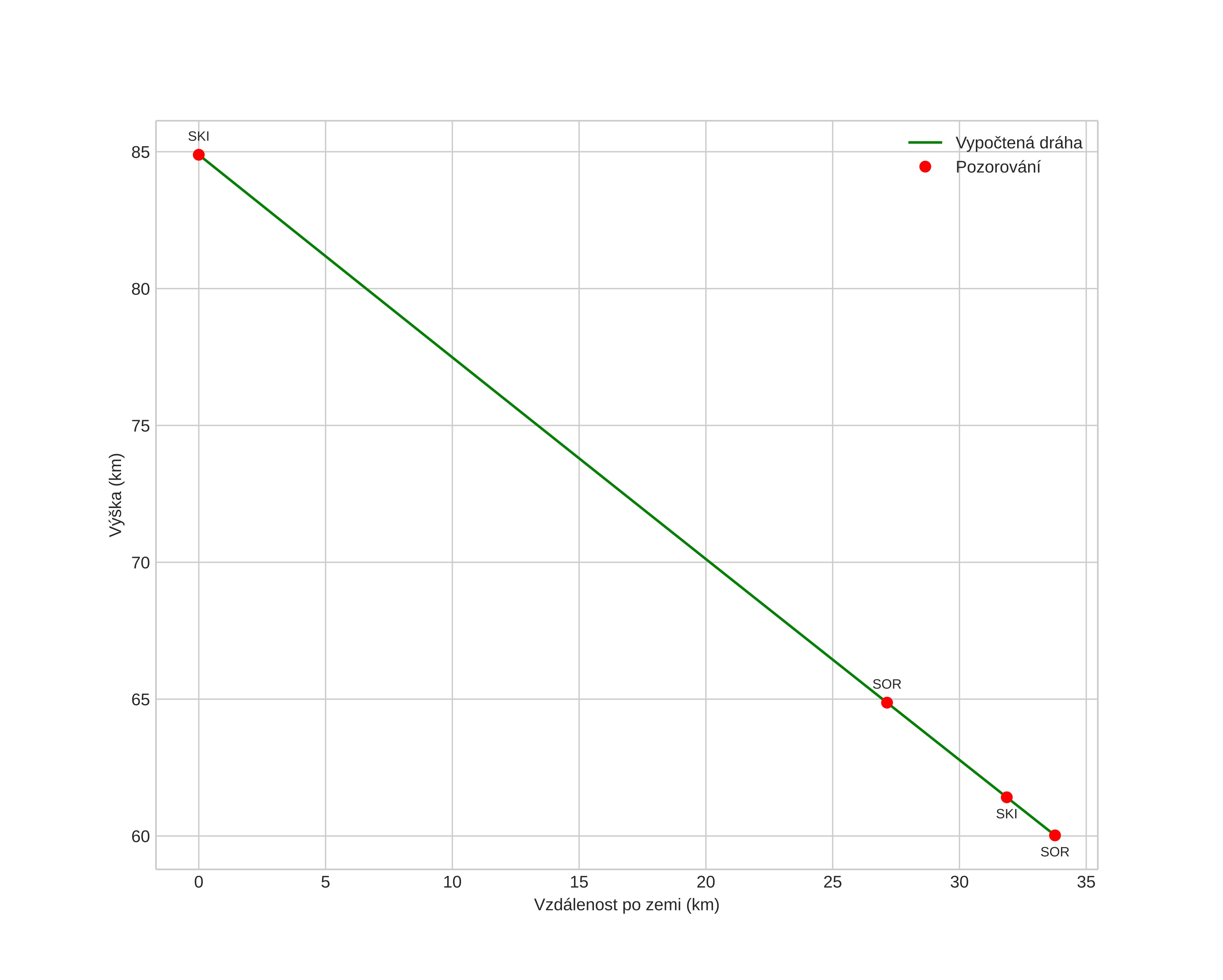
height profile
Atmosférická dráha meteoru:
Počáteční výška: 84,1 km
Konečná výška: 59,8 km
Počáteční poloha: 69,372N 17,804E
Konečná poloha: 69,663N 18,015E
Směr: 14,2°
Sklon: 36,1°
VstupnĂ­ rychlost: 20,1 km/s
Rektascenze radiantu: 11:24 (171,1°)
Deklinace radiantu: 10,8°
MeteorickĂ˝ roj: sporadickĂ˝
Elementy dráhy meteoroidu:
Vzdálenost v periheliu: 0,889 AU
Excentricita: 0,920
Sklon dráhy: 2,8°
Délka vzestupného uzlu: 20,5°
Argument perihelia: 220,2°
Střední anomálie: 359,3°
Epocha: 2023 APR 10 21:50:38
orbit plot

NeinteraktivnĂ­ graf | InteraktivnĂ­ graf

position vs time
speed and acceleration