🇳🇴 🇬🇧 🇩🇪 🇨🇿 🇫🇮

Meteor Finnsnesin yllä 2023-04-10 21:50:38 UTC

KML-tiedosto  |  Interaktiivinen kartta

Kartta näyttää meteorin suuntahavainnot. Vaaleammat viivat näyttävät suunnat havaintoasemilta meteorin ilmestyessä, ja tummemmat viivat näyttävät, missä se viimeksi nähtiin. Sininen nuoli näyttää meteorin näkyvän lennon.

static map
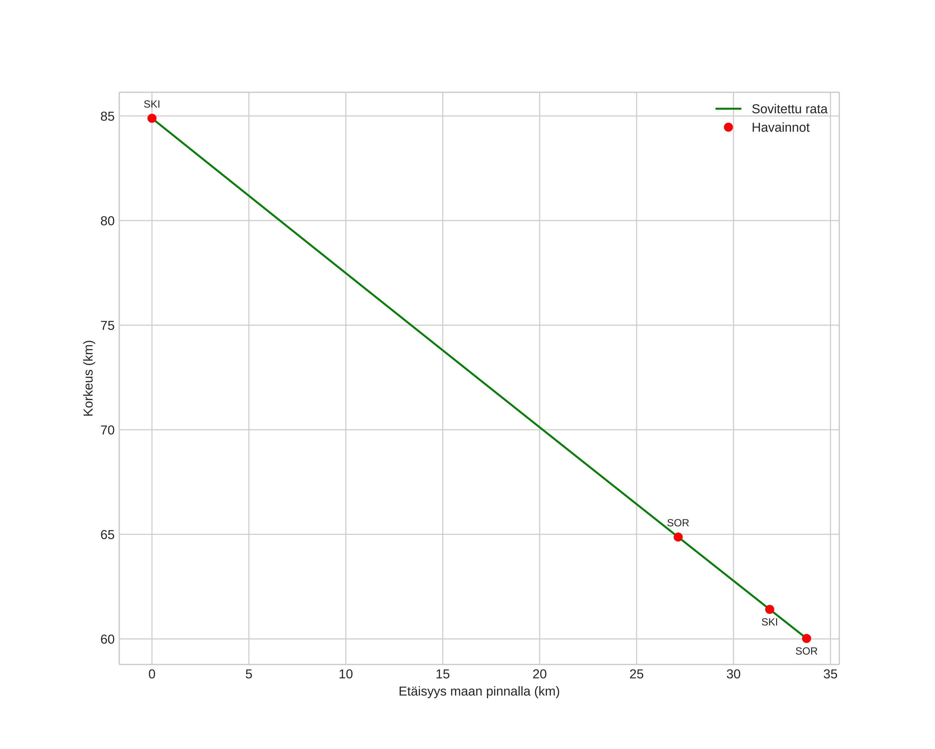
height profile
Meteorin ilmakehärata:
Alkukorkeus: 84,1 km
Loppukorkeus: 59,8 km
Alkupiste: 69,372N 17,804E
Loppupiste: 69,663N 18,015E
Suunta: 14,2°
Kallistuskulma: 36,1°
Tulonopeus: 20,1 km/s
Radiantin R,A,: 11:24 (171,1°)
Radiantin Dekl,: 10,8°
Meteoriparvi: Sporadinen
Meteoroidin rataelementit:
Perihelietäisyys: 0,889 AU
Eksentrisyys: 0,920
Inklinaatio: 2,8°
Nousevan solmun pituus: 20,5°
Perihelin argumentti: 220,2°
Keskianomalia: 359,3°
Epookki: 2023 APR 10 21:50:38
orbit plot

Ei-interaktiivinen kuvaaja | Interaktiivinen kuvaaja

position vs time
speed and acceleration