🇳🇴 🇬🇧 🇩🇪 🇨🇿 🇫🇮

Meteor, poloha: Finnsnes 2023-04-10 21:50:39 UTC

Soubor KML  |  InteraktivnĂ­ mapa

Mapa zobrazuje dráhy meteoru. Světlejší čáry ukazují směry od pozorovacích stanic při objevení se meteoru a tmavší čáry, kde byl naposledy viděn. Modrá šipka značí viditelnou dráhu meteoru.

static map
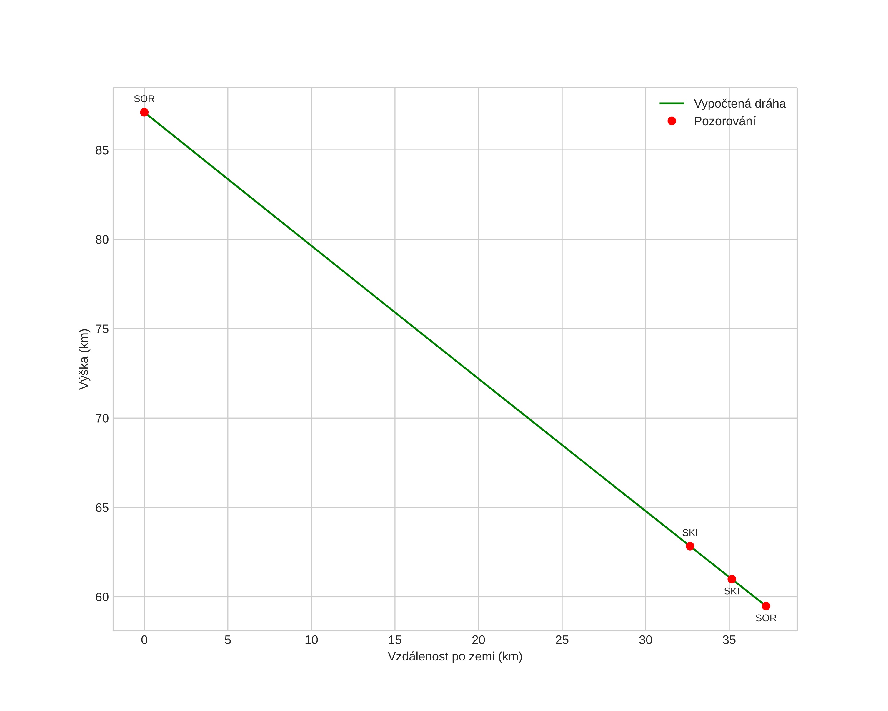
height profile
Atmosférická dráha meteoru:
Počáteční výška: 87,7 km
Konečná výška: 59,5 km
Počáteční poloha: 69,339N 17,793E
Konečná poloha: 69,665N 18,015E
Směr: 13,3°
Sklon: 37,2°
VstupnĂ­ rychlost: 18,1 km/s
Rektascenze radiantu: 11:27 (171,8°)
Deklinace radiantu: 10,4°
MeteorickĂ˝ roj: sporadickĂ˝
Elementy dráhy meteoroidu:
Vzdálenost v periheliu: 0,899 AU
Excentricita: 0,752
Sklon dráhy: 2,4°
Délka vzestupného uzlu: 20,5°
Argument perihelia: 220,3°
Střední anomálie: 356,0°
Epocha: 2023 APR 10 21:50:39
orbit plot

NeinteraktivnĂ­ graf | InteraktivnĂ­ graf

position vs time
speed and acceleration