🇳🇴 🇬🇧 🇩🇪 🇨🇿 🇫🇮

Meteor Finnsnesin yllä 2023-04-10 21:50:39 UTC

KML-tiedosto  |  Interaktiivinen kartta

Kartta näyttää meteorin suuntahavainnot. Vaaleammat viivat näyttävät suunnat havaintoasemilta meteorin ilmestyessä, ja tummemmat viivat näyttävät, missä se viimeksi nähtiin. Sininen nuoli näyttää meteorin näkyvän lennon.

static map
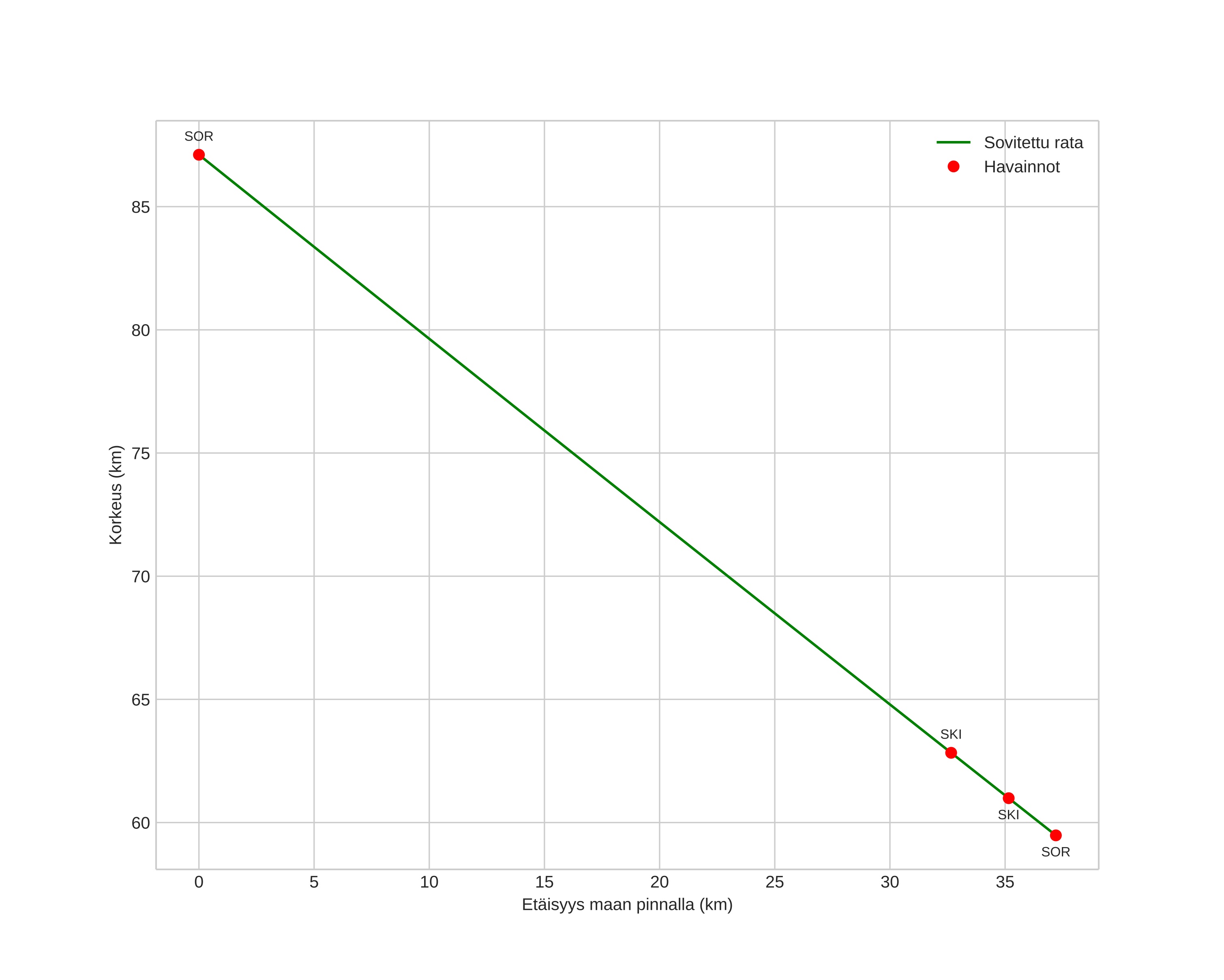
height profile
Meteorin ilmakehärata:
Alkukorkeus: 87,7 km
Loppukorkeus: 59,5 km
Alkupiste: 69,339N 17,793E
Loppupiste: 69,665N 18,015E
Suunta: 13,3°
Kallistuskulma: 37,2°
Tulonopeus: 18,1 km/s
Radiantin R,A,: 11:27 (171,8°)
Radiantin Dekl,: 10,4°
Meteoriparvi: Sporadinen
Meteoroidin rataelementit:
Perihelietäisyys: 0,899 AU
Eksentrisyys: 0,752
Inklinaatio: 2,4°
Nousevan solmun pituus: 20,5°
Perihelin argumentti: 220,3°
Keskianomalia: 356,0°
Epookki: 2023 APR 10 21:50:39
orbit plot

Ei-interaktiivinen kuvaaja | Interaktiivinen kuvaaja

position vs time
speed and acceleration