🇳🇴 🇬🇧 🇩🇪 🇨🇿 🇫🇮

Meteor, poloha: Hatteng 2023-04-11 22:33:11 UTC

Soubor KML  |  InteraktivnĂ­ mapa

Mapa zobrazuje dráhy meteoru. Světlejší čáry ukazují směry od pozorovacích stanic při objevení se meteoru a tmavší čáry, kde byl naposledy viděn. Modrá šipka značí viditelnou dráhu meteoru.

static map
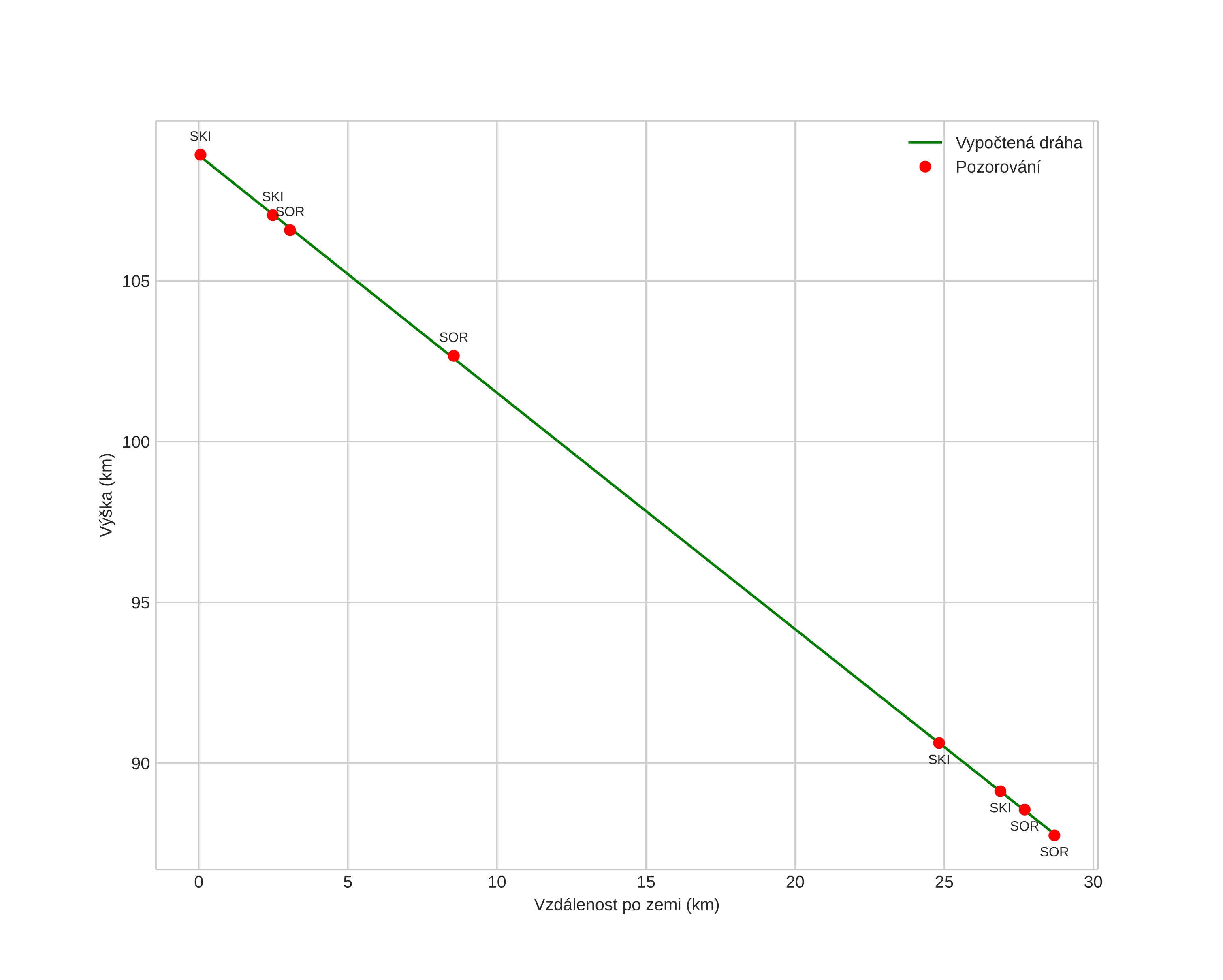
height profile
Atmosférická dráha meteoru:
Počáteční výška: 108,9 km
Konečná výška: 87,8 km
Počáteční poloha: 69,003N 20,407E
Konečná poloha: 68,862N 19,804E
Směr: 237,3°
Sklon: 36,3°
VstupnĂ­ rychlost: 43,7 km/s
Rektascenze radiantu: 20:19 (304,9°)
Deklinace radiantu: 44,3°
MeteorickĂ˝ roj: sporadickĂ˝
Elementy dráhy meteoroidu:
Vzdálenost v periheliu: 0,905 AU
Excentricita: 0,918
Sklon dráhy: 70,3°
Délka vzestupného uzlu: 21,5°
Argument perihelia: 142,8°
Střední anomálie: 0,7°
Epocha: 2023 APR 11 22:33:11
orbit plot

NeinteraktivnĂ­ graf | InteraktivnĂ­ graf

position vs time
speed and acceleration