🇳🇴 🇬🇧 🇩🇪 🇨🇿 🇫🇮

Meteor Hattengin yllä 2023-04-11 22:33:11 UTC

KML-tiedosto  |  Interaktiivinen kartta

Kartta näyttää meteorin suuntahavainnot. Vaaleammat viivat näyttävät suunnat havaintoasemilta meteorin ilmestyessä, ja tummemmat viivat näyttävät, missä se viimeksi nähtiin. Sininen nuoli näyttää meteorin näkyvän lennon.

static map
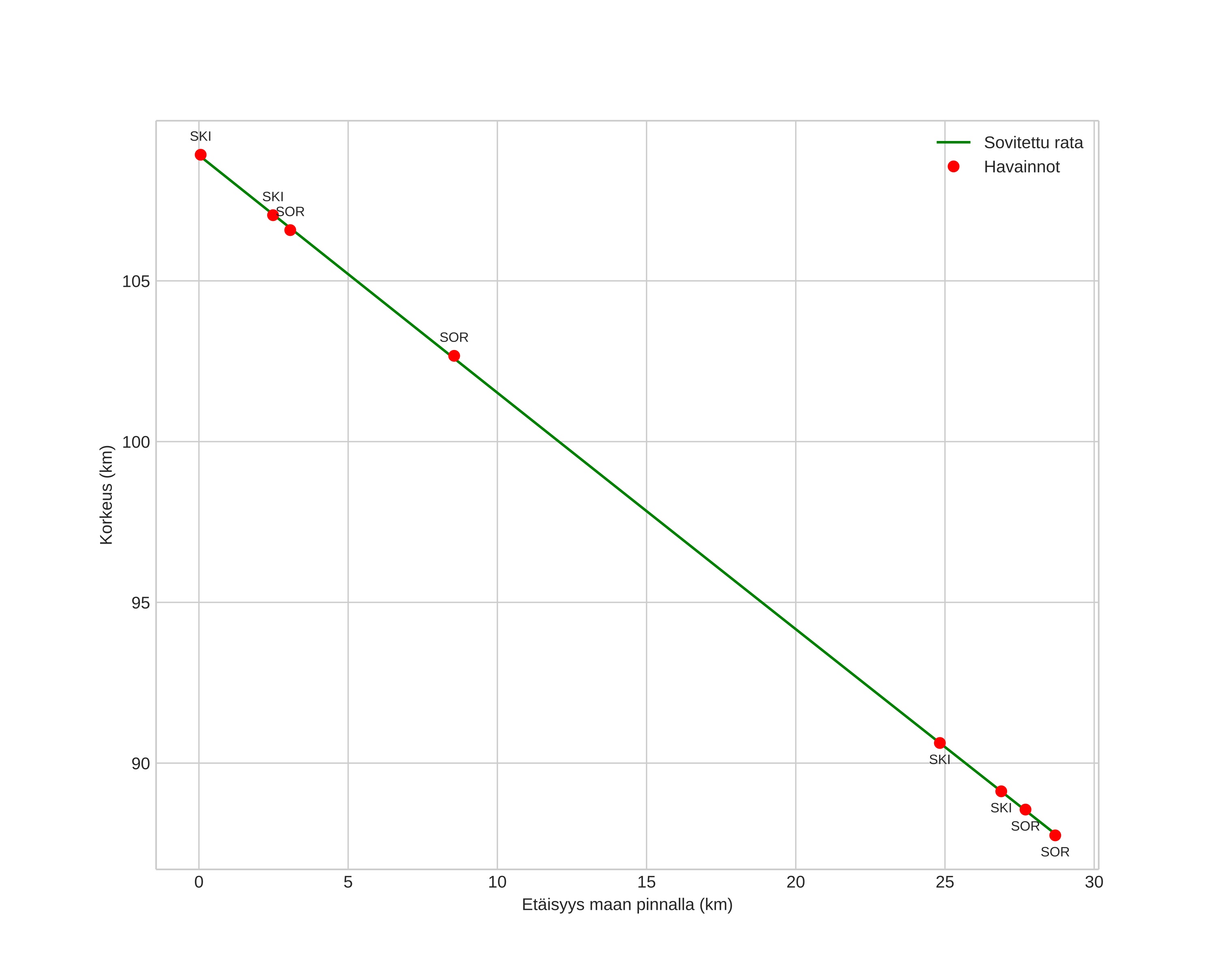
height profile
Meteorin ilmakehärata:
Alkukorkeus: 108,9 km
Loppukorkeus: 87,8 km
Alkupiste: 69,003N 20,407E
Loppupiste: 68,862N 19,804E
Suunta: 237,3°
Kallistuskulma: 36,3°
Tulonopeus: 43,7 km/s
Radiantin R,A,: 20:19 (304,9°)
Radiantin Dekl,: 44,3°
Meteoriparvi: Sporadinen
Meteoroidin rataelementit:
Perihelietäisyys: 0,905 AU
Eksentrisyys: 0,918
Inklinaatio: 70,3°
Nousevan solmun pituus: 21,5°
Perihelin argumentti: 142,8°
Keskianomalia: 0,7°
Epookki: 2023 APR 11 22:33:11
orbit plot

Ei-interaktiivinen kuvaaja | Interaktiivinen kuvaaja

position vs time
speed and acceleration