🇳🇴 🇬🇧 🇩🇪 🇨🇿 🇫🇮

Meteor, poloha: Nikel 2023-04-13 22:45:13 UTC

Soubor KML  |  InteraktivnĂ­ mapa

Mapa zobrazuje dráhy meteoru. Světlejší čáry ukazují směry od pozorovacích stanic při objevení se meteoru a tmavší čáry, kde byl naposledy viděn. Modrá šipka značí viditelnou dráhu meteoru.

static map
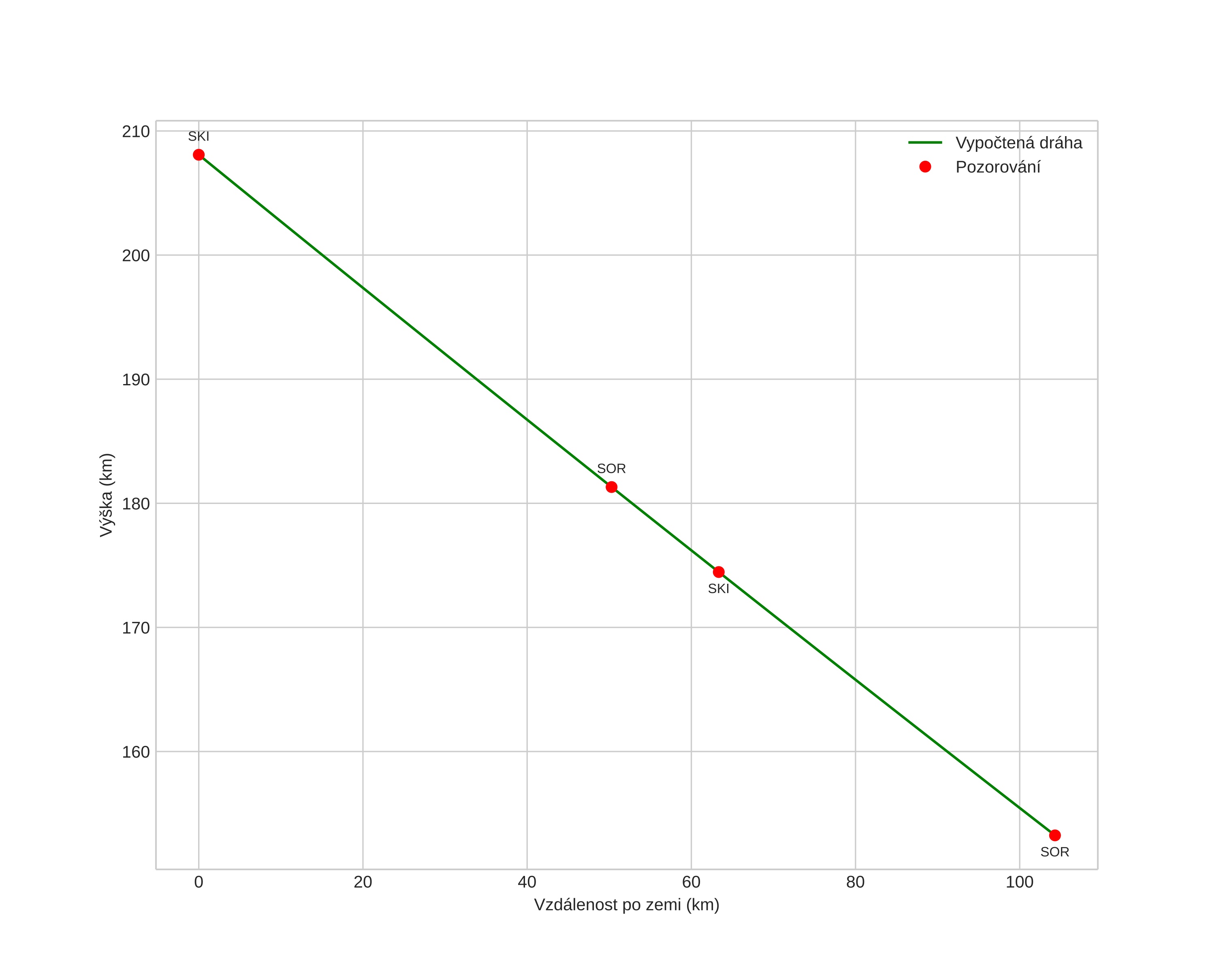
height profile
Atmosférická dráha meteoru:
Počáteční výška: 209,4 km
Konečná výška: 152,9 km
Počáteční poloha: 68,181N 27,404E
Konečná poloha: 68,548N 29,726E
Směr: 65,7°
Sklon: 28,6°
VstupnĂ­ rychlost: 41,5 km/s
Rektascenze radiantu: 10:09 (152,3°)
Deklinace radiantu: 17,0°
MeteorickĂ˝ roj: sporadickĂ˝
Elementy dráhy meteoroidu:
Vzdálenost v periheliu: 0,930 AU
Excentricita: 3,782
Sklon dráhy: 3,3°
Délka vzestupného uzlu: 23,5°
Argument perihelia: 204,7°
Střední anomálie: -55,2°
Epocha: 2023 APR 13 22:45:13
orbit plot

NeinteraktivnĂ­ graf | InteraktivnĂ­ graf

position vs time
speed and acceleration