🇳🇴 🇬🇧 🇩🇪 🇨🇿 🇫🇮

Meteor Nikelin yllä 2023-04-13 22:45:13 UTC

KML-tiedosto  |  Interaktiivinen kartta

Kartta näyttää meteorin suuntahavainnot. Vaaleammat viivat näyttävät suunnat havaintoasemilta meteorin ilmestyessä, ja tummemmat viivat näyttävät, missä se viimeksi nähtiin. Sininen nuoli näyttää meteorin näkyvän lennon.

static map
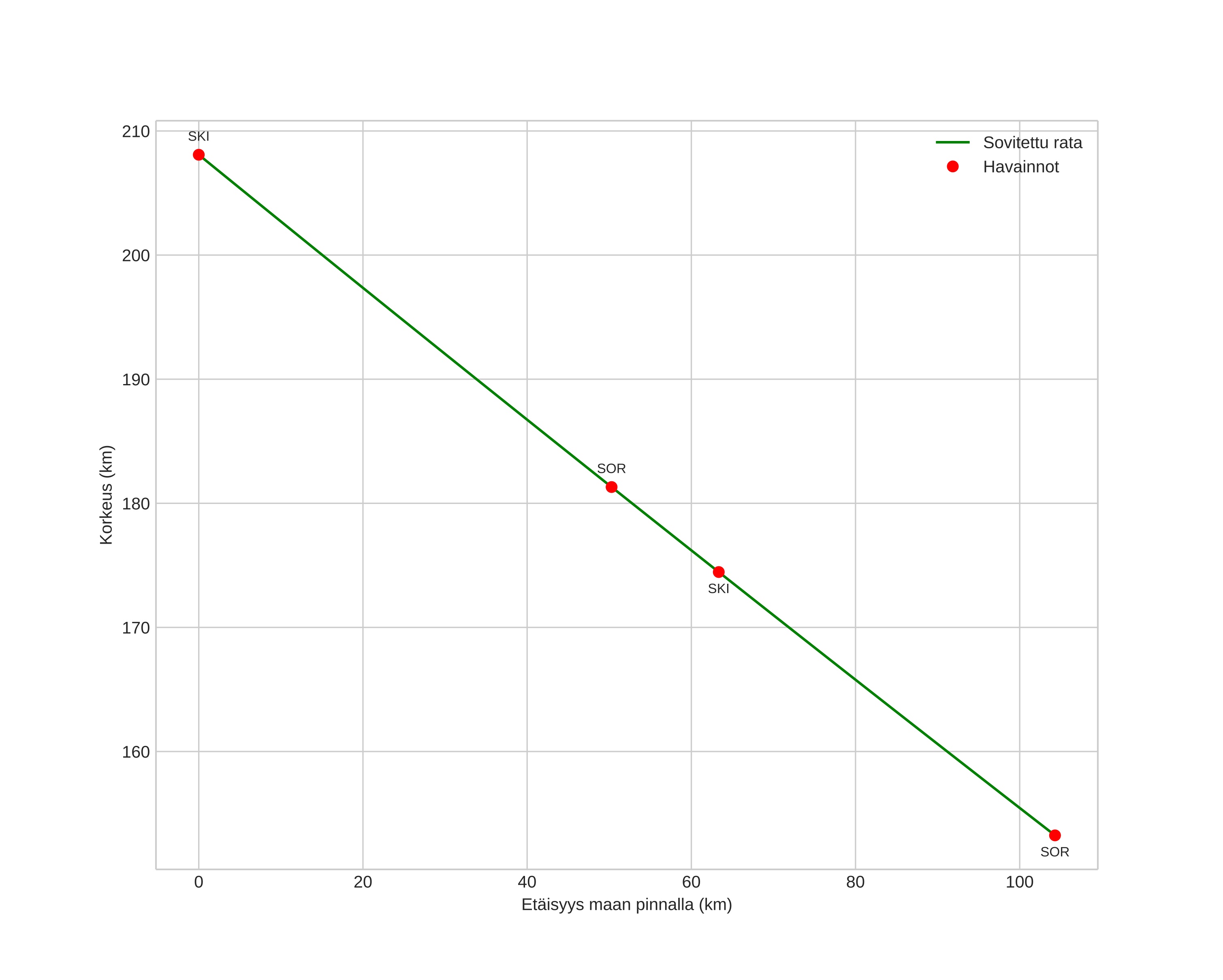
height profile
Meteorin ilmakehärata:
Alkukorkeus: 209,4 km
Loppukorkeus: 152,9 km
Alkupiste: 68,181N 27,404E
Loppupiste: 68,548N 29,726E
Suunta: 65,7°
Kallistuskulma: 28,6°
Tulonopeus: 41,5 km/s
Radiantin R,A,: 10:09 (152,3°)
Radiantin Dekl,: 17,0°
Meteoriparvi: Sporadinen
Meteoroidin rataelementit:
Perihelietäisyys: 0,930 AU
Eksentrisyys: 3,782
Inklinaatio: 3,3°
Nousevan solmun pituus: 23,5°
Perihelin argumentti: 204,7°
Keskianomalia: -55,2°
Epookki: 2023 APR 13 22:45:13
orbit plot

Ei-interaktiivinen kuvaaja | Interaktiivinen kuvaaja

position vs time
speed and acceleration