🇳🇴 🇬🇧 🇩🇪 🇨🇿 🇫🇮

Meteor, poloha: Noresund 2023-04-17 00:24:47 UTC

Soubor KML  |  InteraktivnĂ­ mapa

Mapa zobrazuje dráhy meteoru. Světlejší čáry ukazují směry od pozorovacích stanic při objevení se meteoru a tmavší čáry, kde byl naposledy viděn. Modrá šipka značí viditelnou dráhu meteoru.

static map
height profile
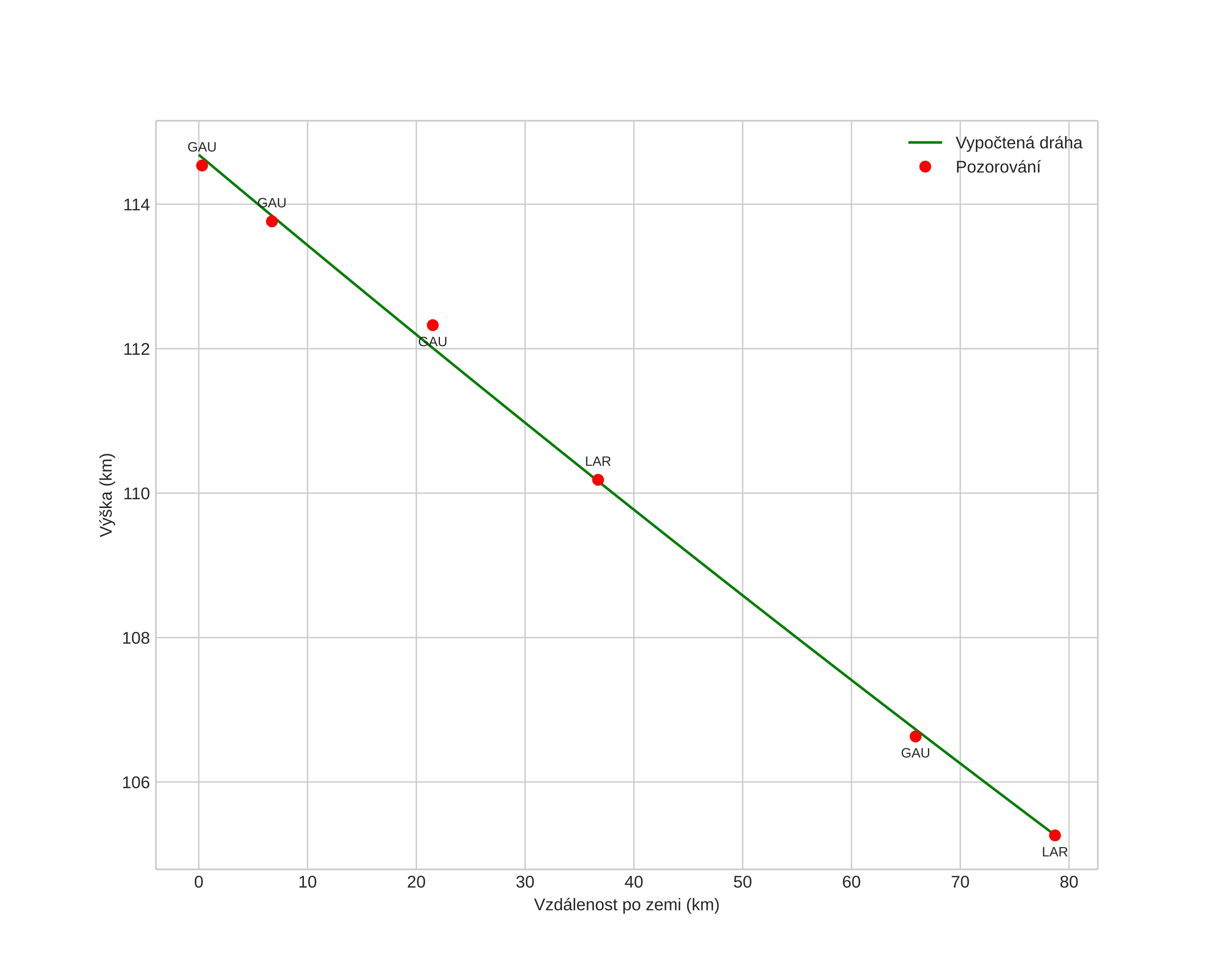
Atmosférická dráha meteoru:
Počáteční výška: 115,4 km
Konečná výška: 99,4 km
Počáteční poloha: 60,116N 10,880E
Konečná poloha: 60,157N 9,604E
Směr: 274,2°
Sklon: 12,7°
VstupnĂ­ rychlost: 61,6 km/s
Rektascenze radiantu: 20:07 (301,9°)
Deklinace radiantu: 8,2°
MeteorickĂ˝ roj: sporadickĂ˝
Elementy dráhy meteoroidu:
Vzdálenost v periheliu: 0,919 AU
Excentricita: 0,629
Sklon dráhy: 129,3°
Délka vzestupného uzlu: 26,4°
Argument perihelia: 141,3°
Střední anomálie: 7,3°
Epocha: 2023 APR 17 00:24:47
orbit plot

NeinteraktivnĂ­ graf | InteraktivnĂ­ graf

position vs time
speed and acceleration