🇳🇴 🇬🇧 🇩🇪 🇨🇿 🇫🇮

Meteor Noresundin yllä 2023-04-17 00:24:47 UTC

KML-tiedosto  |  Interaktiivinen kartta

Kartta näyttää meteorin suuntahavainnot. Vaaleammat viivat näyttävät suunnat havaintoasemilta meteorin ilmestyessä, ja tummemmat viivat näyttävät, missä se viimeksi nähtiin. Sininen nuoli näyttää meteorin näkyvän lennon.

static map
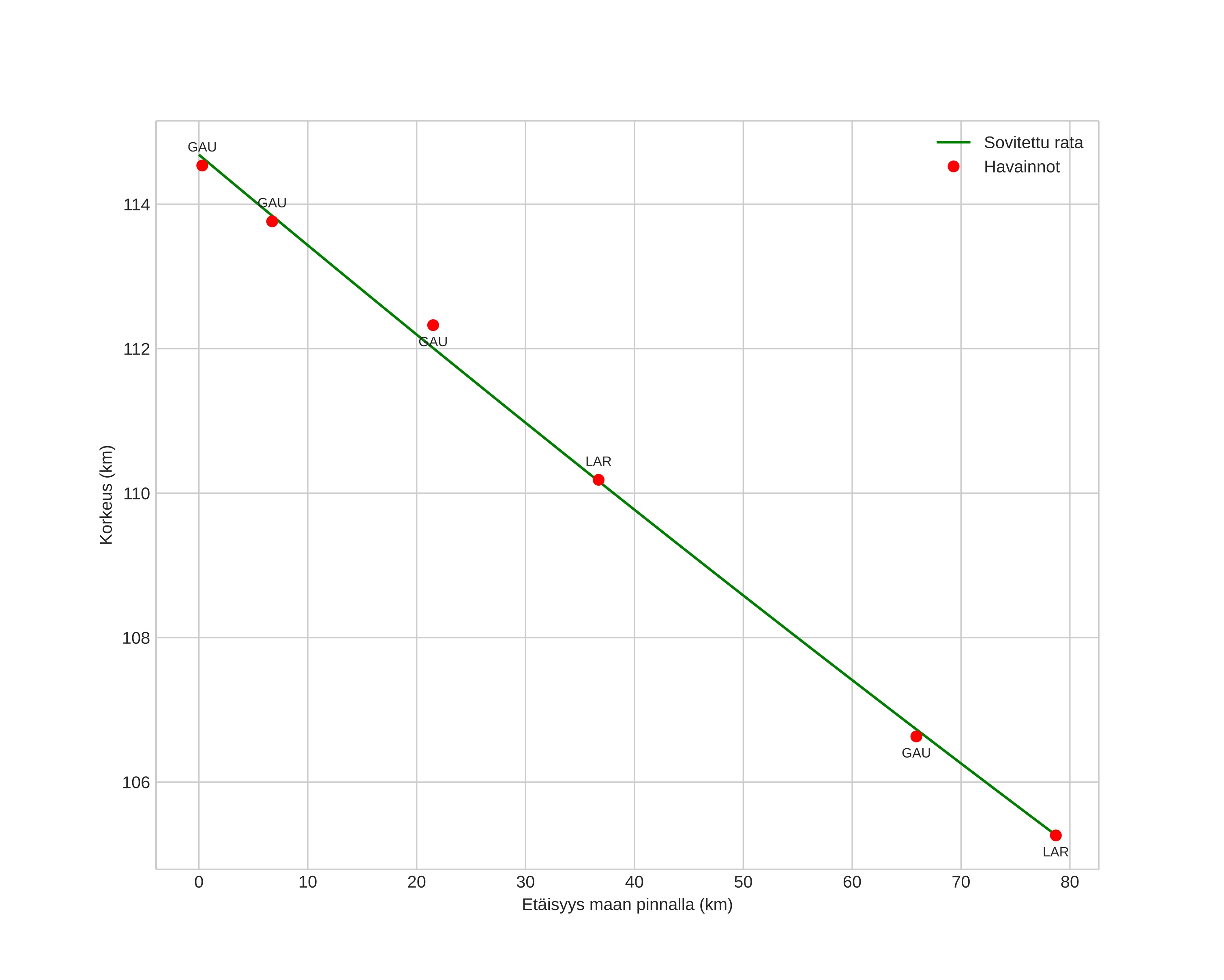
height profile
Meteorin ilmakehärata:
Alkukorkeus: 115,4 km
Loppukorkeus: 99,4 km
Alkupiste: 60,116N 10,880E
Loppupiste: 60,157N 9,604E
Suunta: 274,2°
Kallistuskulma: 12,7°
Tulonopeus: 61,6 km/s
Radiantin R,A,: 20:07 (301,9°)
Radiantin Dekl,: 8,2°
Meteoriparvi: Sporadinen
Meteoroidin rataelementit:
Perihelietäisyys: 0,919 AU
Eksentrisyys: 0,629
Inklinaatio: 129,3°
Nousevan solmun pituus: 26,4°
Perihelin argumentti: 141,3°
Keskianomalia: 7,3°
Epookki: 2023 APR 17 00:24:47
orbit plot

Ei-interaktiivinen kuvaaja | Interaktiivinen kuvaaja

position vs time
speed and acceleration