🇳🇴 🇬🇧 🇩🇪 🇨🇿 🇫🇮

Meteor, poloha: Hanstholm 2023-04-19 23:43:02 UTC

Soubor KML  |  InteraktivnĂ­ mapa

Mapa zobrazuje dráhy meteoru. Světlejší čáry ukazují směry od pozorovacích stanic při objevení se meteoru a tmavší čáry, kde byl naposledy viděn. Modrá šipka značí viditelnou dráhu meteoru.

static map
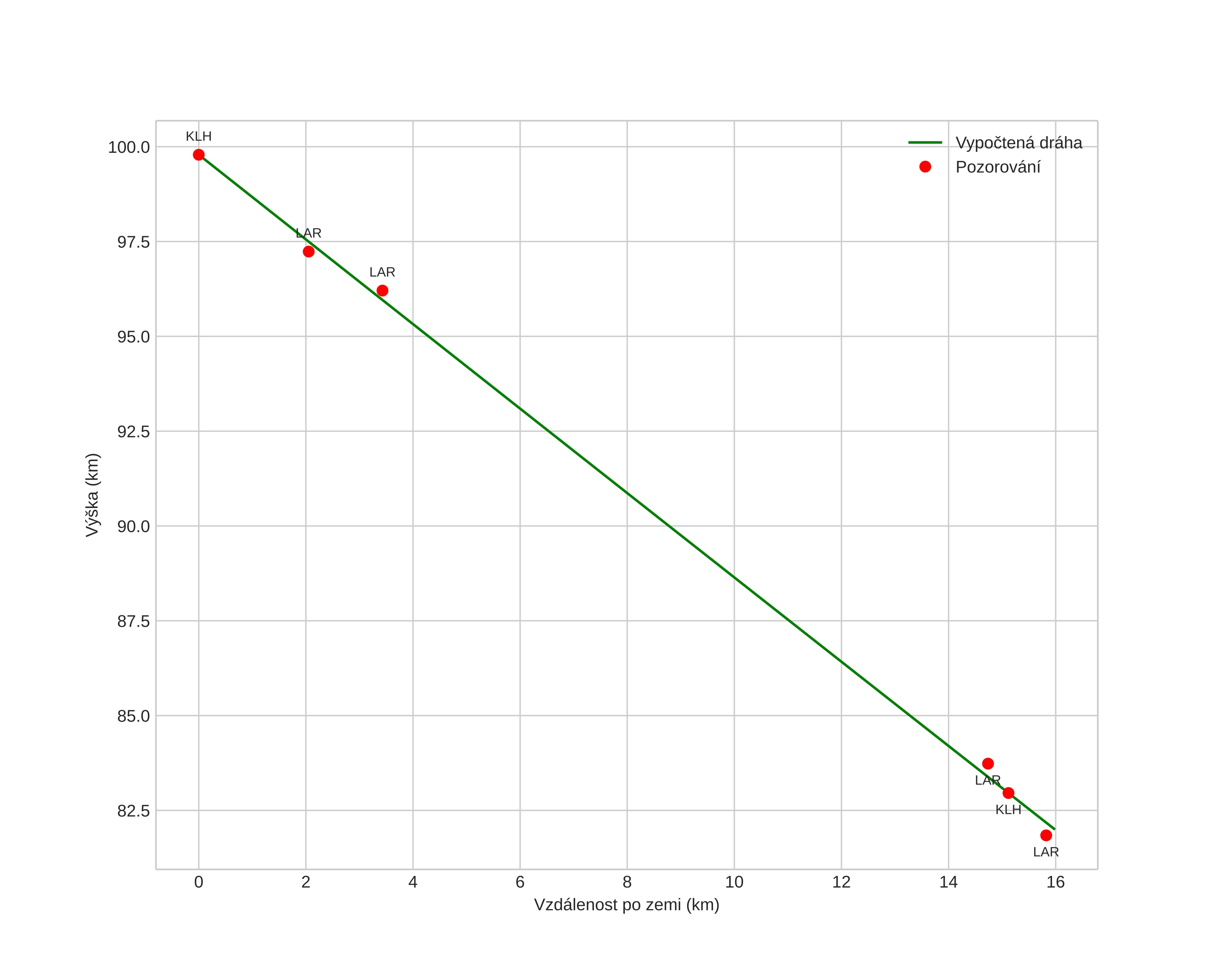
height profile
Atmosférická dráha meteoru:
Počáteční výška: 102,5 km
Konečná výška: 81,9 km
Počáteční poloha: 57,608N 9,059E
Konečná poloha: 57,634N 8,750E
Směr: 279,2°
Sklon: 47,8°
VstupnĂ­ rychlost: 50,9 km/s
Rektascenze radiantu: 17:44 (266,1°)
Deklinace radiantu: 34,2°
MeteorickĂ˝ roj: Lyridy
Elementy dráhy meteoroidu:
Vzdálenost v periheliu: 0,907 AU
Excentricita: 1,269
Sklon dráhy: 79,1°
Délka vzestupného uzlu: 29,3°
Argument perihelia: 214,3°
Střední anomálie: -3,4°
Epocha: 2023 APR 19 23:43:02
orbit plot

NeinteraktivnĂ­ graf | InteraktivnĂ­ graf

position vs time
speed and acceleration