🇳🇴 🇬🇧 🇩🇪 🇨🇿 🇫🇮

Meteor Hanstholmin yllä 2023-04-19 23:43:02 UTC

KML-tiedosto  |  Interaktiivinen kartta

Kartta näyttää meteorin suuntahavainnot. Vaaleammat viivat näyttävät suunnat havaintoasemilta meteorin ilmestyessä, ja tummemmat viivat näyttävät, missä se viimeksi nähtiin. Sininen nuoli näyttää meteorin näkyvän lennon.

static map
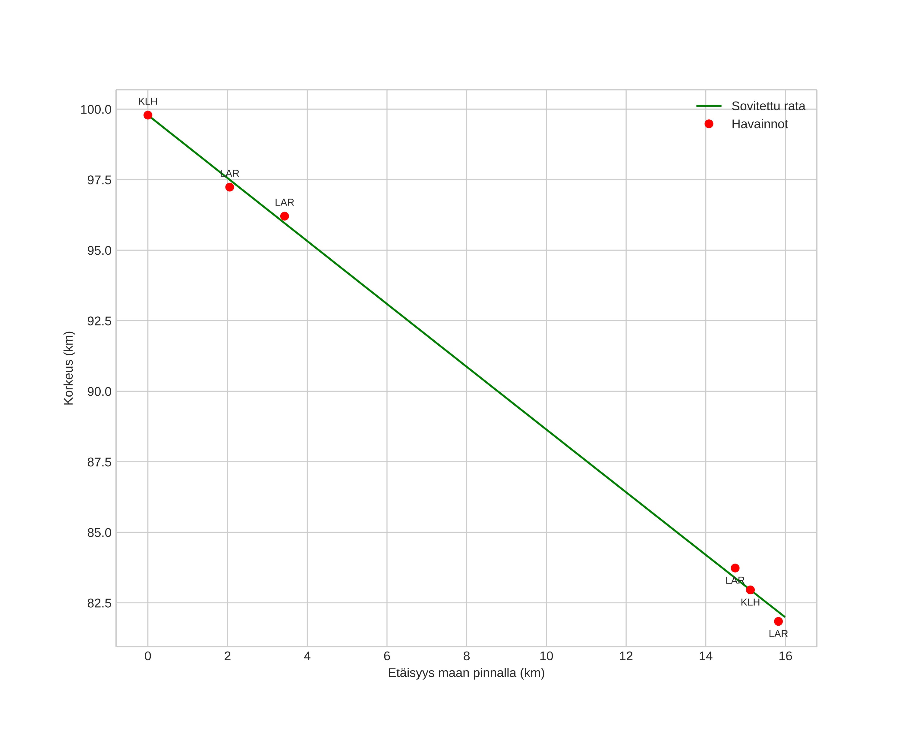
height profile
Meteorin ilmakehärata:
Alkukorkeus: 102,5 km
Loppukorkeus: 81,9 km
Alkupiste: 57,608N 9,059E
Loppupiste: 57,634N 8,750E
Suunta: 279,2°
Kallistuskulma: 47,8°
Tulonopeus: 50,9 km/s
Radiantin R,A,: 17:44 (266,1°)
Radiantin Dekl,: 34,2°
Meteoriparvi: Lyridit
Meteoroidin rataelementit:
Perihelietäisyys: 0,907 AU
Eksentrisyys: 1,269
Inklinaatio: 79,1°
Nousevan solmun pituus: 29,3°
Perihelin argumentti: 214,3°
Keskianomalia: -3,4°
Epookki: 2023 APR 19 23:43:02
orbit plot

Ei-interaktiivinen kuvaaja | Interaktiivinen kuvaaja

position vs time
speed and acceleration