🇳🇴 🇬🇧 🇩🇪 🇨🇿 🇫🇮

Meteor, poloha: Västra Hagen 2023-04-21 00:49:14 UTC

Soubor KML  |  InteraktivnĂ­ mapa

Mapa zobrazuje dráhy meteoru. Světlejší čáry ukazují směry od pozorovacích stanic při objevení se meteoru a tmavší čáry, kde byl naposledy viděn. Modrá šipka značí viditelnou dráhu meteoru.

static map
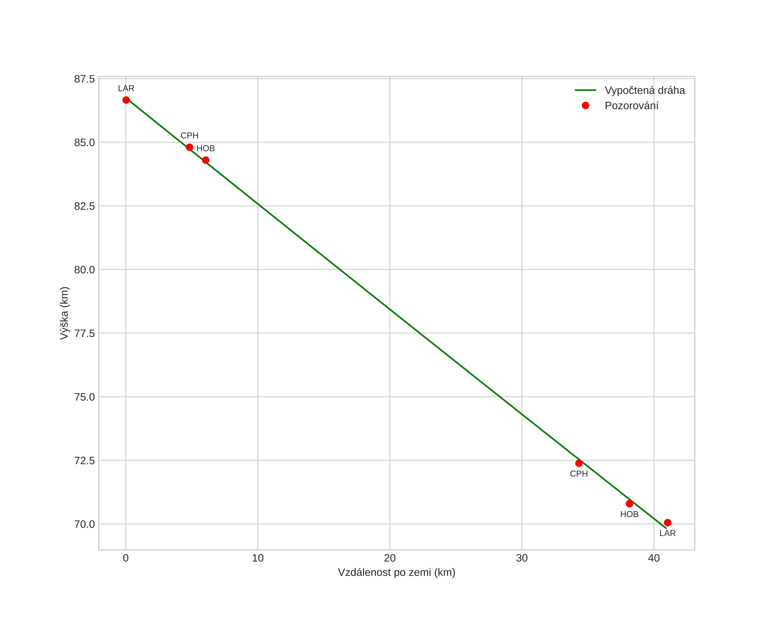
height profile
Atmosférická dráha meteoru:
Počáteční výška: 86,8 km
Konečná výška: 70,0 km
Počáteční poloha: 56,738N 11,445E
Konečná poloha: 57,100N 11,584E
Směr: 11,8°
Sklon: 22,2°
VstupnĂ­ rychlost: 34,3 km/s
Rektascenze radiantu: 14:41 (220,4°)
Deklinace radiantu: -12,4°
MeteorickĂ˝ roj: sporadickĂ˝
Elementy dráhy meteoroidu:
Vzdálenost v periheliu: 0,321 AU
Excentricita: 0,912
Sklon dráhy: 4,4°
Délka vzestupného uzlu: 30,4°
Argument perihelia: 295,2°
Střední anomálie: 354,3°
Epocha: 2023 APR 21 00:49:14
orbit plot

NeinteraktivnĂ­ graf | InteraktivnĂ­ graf

position vs time
speed and acceleration