🇳🇴 🇬🇧 🇩🇪 🇨🇿 🇫🇮

Meteor Västra Hagenin yllä 2023-04-21 00:49:14 UTC

KML-tiedosto  |  Interaktiivinen kartta

Kartta näyttää meteorin suuntahavainnot. Vaaleammat viivat näyttävät suunnat havaintoasemilta meteorin ilmestyessä, ja tummemmat viivat näyttävät, missä se viimeksi nähtiin. Sininen nuoli näyttää meteorin näkyvän lennon.

static map
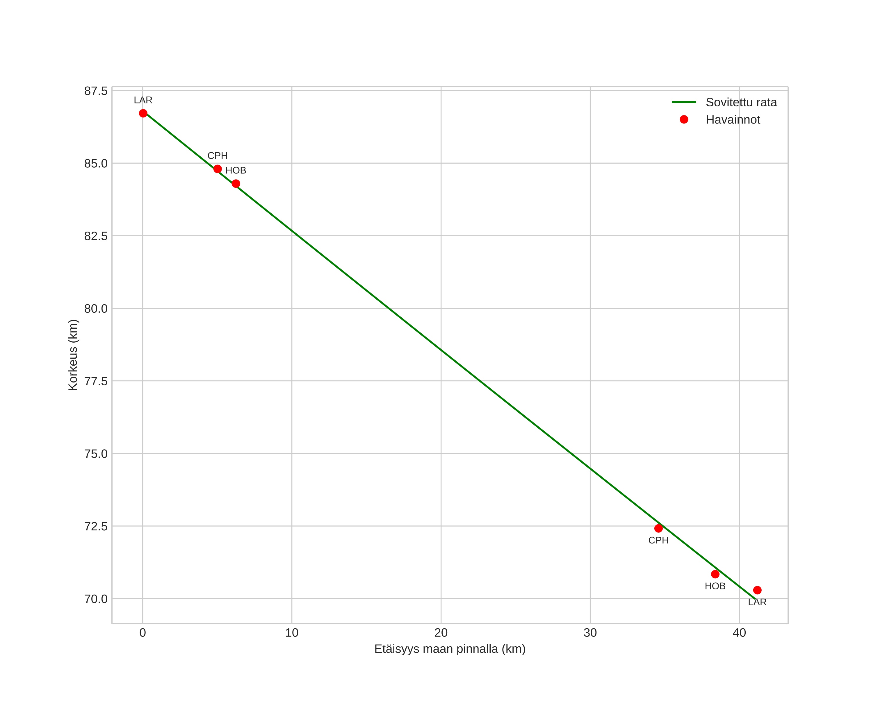
height profile
Meteorin ilmakehärata:
Alkukorkeus: 86,8 km
Loppukorkeus: 70,0 km
Alkupiste: 56,738N 11,445E
Loppupiste: 57,100N 11,584E
Suunta: 11,8°
Kallistuskulma: 22,2°
Tulonopeus: 34,3 km/s
Radiantin R,A,: 14:41 (220,4°)
Radiantin Dekl,: -12,4°
Meteoriparvi: Sporadinen
Meteoroidin rataelementit:
Perihelietäisyys: 0,321 AU
Eksentrisyys: 0,912
Inklinaatio: 4,4°
Nousevan solmun pituus: 30,4°
Perihelin argumentti: 295,2°
Keskianomalia: 354,3°
Epookki: 2023 APR 21 00:49:14
orbit plot

Ei-interaktiivinen kuvaaja | Interaktiivinen kuvaaja

position vs time
speed and acceleration